【药物名称】SB-219994
化学结构式(Chemical Structure):
参考文献No.29367
标题:Benzoxazoles and pyridine derivs. useful in the treatment of type II diabetes
作者:Haigh, D.; Rami, H.K. (SmithKline Beecham plc)
来源:EP 0772605; JP 1998503508; WO 9604260; WO 9604261
合成路线图解说明:

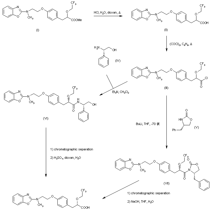
The chiral compound was prepared by several alternative procedures. Acid hydrolysis of the known racemic ester (I) gave carboxylic acid (II), which was converted into acid chloride (III) by using oxalyl chloride in benzene. This was either condensed with (S)-2-phenylglycinol (V) or with (S)-4-benzyloxazolidine-2-one (VI) to provide the diastereomeric mixtures of amides (VI) or imides (VII), respectively. After chromatographic separation of the required (S,S)-diastereoisomers, the title compound was obtained by acid hydrolysis of the (S,S)-amide or by hydrolysis of the corresponding imide with NaOH.

合成路线图解说明:

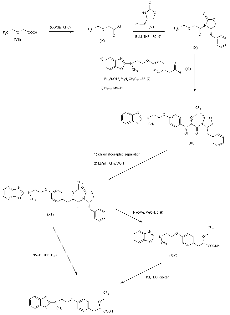
In an alternative procedure, (2,2,2-trifluoroethoxy)acetic acid (VIII) was converted into acid chloride (IX) by means of oxalyl chloride, and then coupled with (S)-4-benzyloxazolidine-2-one (V) in the presence of butyllithium to afford the chiral imide (X). The boron enolate obtained by treatment of (X) with di-n-butylboron triflate and triethylamine was then condensed with aldehyde (XI) to produce, after oxidative work-up with H2O2, a mixture of 3 diastereomeric aldol products (XII). The major [3(2S,3R),4S] isomer was isolated by column chromatography, and subsequently reduced with triethylsilane and trifluoroacetic acid to the (S,S) dehydroxylated compound (XIII). Basic hydrolysis of the imide (XIII) as above furnished the title carboxylic acid. Alternatively, treatment of the imide (XIII) with methanolic NaOMe produced the methyl ester (XIV), which was finally hydrolyzed to the target carboxylic acid employing HCl in aqueous dioxan.

参考文献No.33822
标题:Use of an antagonist of PPAR-alpha and PPAR-gamma for the treatment of syndrom X
作者:Smith, S.A. (SmithKline Beecham plc)
来源:WO 9725042
合成路线图解说明:

The chiral compound was prepared by several alternative procedures. Acid hydrolysis of the known racemic ester (I) gave carboxylic acid (II), which was converted into acid chloride (III) by using oxalyl chloride in benzene. This was either condensed with (S)-2-phenylglycinol (V) or with (S)-4-benzyloxazolidine-2-one (VI) to provide the diastereomeric mixtures of amides (VI) or imides (VII), respectively. After chromatographic separation of the required (S,S)-diastereoisomers, the title compound was obtained by acid hydrolysis of the (S,S)-amide or by hydrolysis of the corresponding imide with NaOH.

合成路线图解说明:

In an alternative procedure, (2,2,2-trifluoroethoxy)acetic acid (VIII) was converted into acid chloride (IX) by means of oxalyl chloride, and then coupled with (S)-4-benzyloxazolidine-2-one (V) in the presence of butyllithium to afford the chiral imide (X). The boron enolate obtained by treatment of (X) with di-n-butylboron triflate and triethylamine was then condensed with aldehyde (XI) to produce, after oxidative work-up with H2O2, a mixture of 3 diastereomeric aldol products (XII). The major [3(2S,3R),4S] isomer was isolated by column chromatography, and subsequently reduced with triethylsilane and trifluoroacetic acid to the (S,S) dehydroxylated compound (XIII). Basic hydrolysis of the imide (XIII) as above furnished the title carboxylic acid. Alternatively, treatment of the imide (XIII) with methanolic NaOMe produced the methyl ester (XIV), which was finally hydrolyzed to the target carboxylic acid employing HCl in aqueous dioxan.

Drug Information Express,Drug R&D,Chemical Database,Patent Search.
Copyright © 2006-2026 Drug Future. All rights reserved.Contact Us