【药物名称】SB-237376
化学结构式(Chemical Structure):
参考文献No.29944
标题:Nitro-benzamides useful as anti-arrhythmic agents
作者:Nadler, G.M.M.G.; Martin, M.J.R. (SmithKline Beecham plc)
来源:EP 0788474; FR 2726267; JP 1998508013; US 5977179; WO 9613479
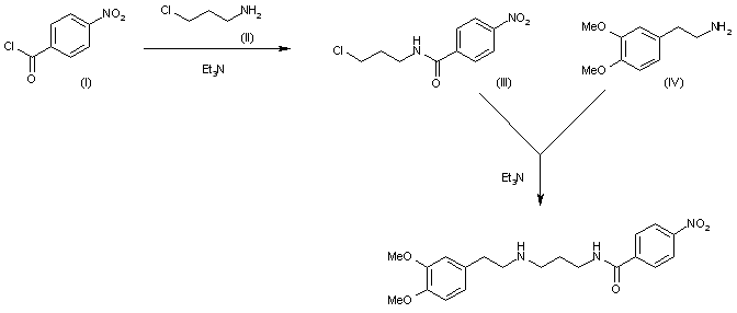
合成路线图解说明:

The reaction of 4-nitrobenzoyl chloride (I) with 3-chloropropylamine (II) by menas of triethylamine in dichloromethane gives the corresponding amide (III), which is then condensed with 2-(3,4-dimethoxyphenyl)ethylamine (IV) by means of triethylamine in refluxing dichloromethane.

Drug Information Express,Drug R&D,Chemical Database,Patent Search.
Copyright © 2006-2026 Drug Future. All rights reserved.Contact Us