【药物名称】NC-2100
化学结构式(Chemical Structure):
参考文献No.29915
标题:Quinoline deriv.
作者:Nomura, Y.; Sakuma, S.; Masui, S. (Nippon Chemiphar Co., Ltd.)
来源:EP 0787725; JP 1997100280; US 5693651; WO 9612719
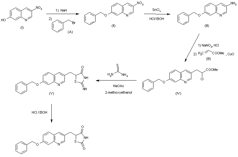
合成路线图解说明:

Treatment of 3-nitro-7-hydroxyquinoline (I) with NaH and benzyl bromide (A) provides benzyloxyderivative (II), which is reduced with SnCl4 in HCl/EtOH to yield (III). Amine (III) is then converted into (IV) via the diazonium salt by treatment with NaNO2 in HCl followed by reaction with methyl acrylate (B) in presence of CuO. Cyclization of (IV) with thiourea in 2-methoxyethanol in presence of NaOAc affords imino-thiazolidinone (V), which is finally hydrolyzed with HCl and EtOH.

Drug Information Express,Drug R&D,Chemical Database,Patent Search.
Copyright © 2006-2026 Drug Future. All rights reserved.Contact Us