【药物名称】Oxalysine-L, L-4-Oxalysine, I-677
化学结构式(Chemical Structure):
参考文献No.800353
标题:The resolutiom of dl-4-oxalysine on experimental hepatittis
作者:Tesser, G.I.; Nivard, R.J.F.; Gruber, M.
来源:Recl Trav Chim Pays-Bas 1962,81713-719
合成路线图解说明:

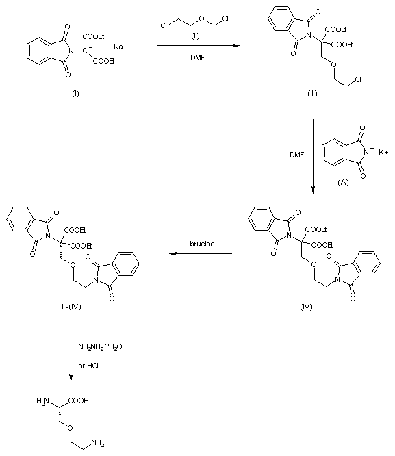
The interaction of 2-chloroethyl chloromethyl ether (I) and the sodium salt of 2-phthalimidomalonate (II) in dimethylformamide afforded the condensation product (III). An amino group was then introduced to the latter compound by means of potassium phthalimide (A), giving (IV). The racemic amino acid (V) could be obtained on removal of the phthalyl groups by treatment with hydrazine. However, the racemic phthalimide compound (IV) could be used directly for resolution through the brucine salt, and the protecting groups were then removed by hydrolysis with 6N hydrochloric acid. The levo-amino acid (V) was finally isolated as the dihydrochloride.

参考文献No.800354
标题:L-4-Oxalysine dihydrochloride
作者:Ru-yun, J.
来源:Drugs Fut 1983,8(5),425
合成路线图解说明:

The interaction of 2-chloroethyl chloromethyl ether (I) and the sodium salt of 2-phthalimidomalonate (II) in dimethylformamide afforded the condensation product (III). An amino group was then introduced to the latter compound by means of potassium phthalimide (A), giving (IV). The racemic amino acid (V) could be obtained on removal of the phthalyl groups by treatment with hydrazine. However, the racemic phthalimide compound (IV) could be used directly for resolution through the brucine salt, and the protecting groups were then removed by hydrolysis with 6N hydrochloric acid. The levo-amino acid (V) was finally isolated as the dihydrochloride.

Drug Information Express,Drug R&D,Chemical Database,Patent Search.
Copyright © 2006-2026 Drug Future. All rights reserved.Contact Us