【药物名称】
化学结构式(Chemical Structure):
参考文献No.29573
标题:Oxime derivs., their preparation and their therapeutic use
作者:Yanagisawa, H.; Fujita, T.; Fujimoto, K.; Yoshioka, T.; Wada, K.; Oguchi, M.; Fujiwara, T.; Horikoshi, H. (Sankyo Co., Ltd.)
来源:CA 2159938; EP 0708098; JP 1997048779; US 5703096; US 5780490; US 5972959
合成路线图解说明:

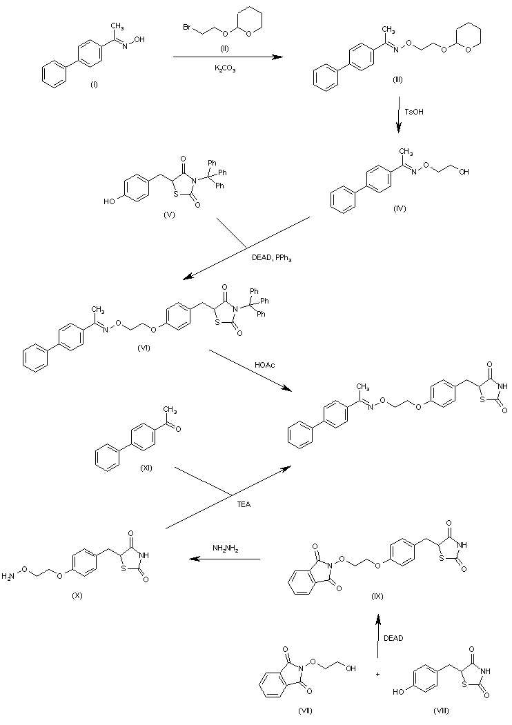
This compound has been obtained by two related ways: 1) The condensation of 4-acetylbiphenyl oxime (I) with 2-(2-bromoethoxy)tetrahydropyran (II) by means of K2CO3 in hot dimethylacetamide gives the oxime derivative (III), which is treated with TsOH in methanol yielding 4-acetylbiphenyl O-(2-hydroxyethyl)oxime (IV). The condensation of (IV) with 5-(4-hydroxybenzyl)-3-tritylthiazolidine-2,4-dione (V) by means of diethyl azodicarboxylate (DEAD) and PPh3 in THF affords (VI), the trityl derivative of the target compound, which is finally treated with hot aqueous ethanol to eliminate the trityl group. 2) The condensation of 5-(4-hydroxybenzyl)thiazolidine-2,4-dione (VIII) with N-(2-hydroxyethoxy)phthalimide (VII) by means DEAD gives the adduct (IX), which is treated with hydrazine to eliminate the phthalimido group yielding the substituted hydroxylamine (X). Finally, this compound is condensed with 4-acetylbiphenyl (XI) by means of TEA.

合成路线图解说明:

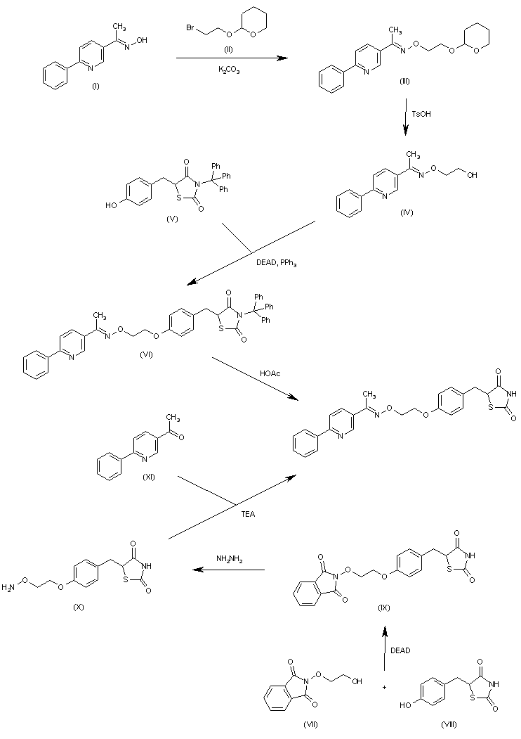
This compound has been obtained by two related ways: 1) The condensation of 3-acetyl-6-phenylpyridine oxime (I) with 2-(2-bromoethoxy)tetrahydropyran (II) by means of K2CO3 in hot dimethylacetamide gives the oxime derivative (III), which is treated with TsOH in methanol yielding 3-acetyl-6-phenylpyridine O-(2-hydroxyethyl)oxime (IV). The condensation of (IV) with 5-(4-hydroxybenzyl)-3-tritylthiazolidine-2,4-dione (V) by means of diethyl azodicarboxylate (DEAD) and PPh3 in THF affords (VI), the trityl derivative of the target compound, which is finally treated with hot aqueous ethanol to eliminate the trityl group. 2) The condensation of 5-(4-hydroxybenzyl)thiazolidine-2,4-dione (VIII) with N-(2-hydroxyethoxy)phthalimide (VII) by means DEAD gives the adduct (IX), which is treated with hydrazine to eliminate the phthalimido group yielding the substituted hydroxylamine (X). Finally, this compound is condensed with 3-acetyl-6-phenylpyridine (XI) by means of TEA.

参考文献No.568776
标题:Novel oximes having 5-benzyl-2,4-thiazolidinedione as antihyperglycemic agents: Synthesis and structure-activity relationship
作者:Yanagisawa, H.; Takamura, M.; Yamada, E.; Fujita, S.; Fujiwara, T.; Yachi, M.; Isobe, A.; Hagisawa, Y.
来源:Bioorg Med Chem Lett 2000,10(4),373
合成路线图解说明:

This compound has been obtained by two related ways: 1) The condensation of 4-acetylbiphenyl oxime (I) with 2-(2-bromoethoxy)tetrahydropyran (II) by means of K2CO3 in hot dimethylacetamide gives the oxime derivative (III), which is treated with TsOH in methanol yielding 4-acetylbiphenyl O-(2-hydroxyethyl)oxime (IV). The condensation of (IV) with 5-(4-hydroxybenzyl)-3-tritylthiazolidine-2,4-dione (V) by means of diethyl azodicarboxylate (DEAD) and PPh3 in THF affords (VI), the trityl derivative of the target compound, which is finally treated with hot aqueous ethanol to eliminate the trityl group. 2) The condensation of 5-(4-hydroxybenzyl)thiazolidine-2,4-dione (VIII) with N-(2-hydroxyethoxy)phthalimide (VII) by means DEAD gives the adduct (IX), which is treated with hydrazine to eliminate the phthalimido group yielding the substituted hydroxylamine (X). Finally, this compound is condensed with 4-acetylbiphenyl (XI) by means of TEA.

合成路线图解说明:

This compound has been obtained by two related ways: 1) The condensation of 3-acetyl-6-phenylpyridine oxime (I) with 2-(2-bromoethoxy)tetrahydropyran (II) by means of K2CO3 in hot dimethylacetamide gives the oxime derivative (III), which is treated with TsOH in methanol yielding 3-acetyl-6-phenylpyridine O-(2-hydroxyethyl)oxime (IV). The condensation of (IV) with 5-(4-hydroxybenzyl)-3-tritylthiazolidine-2,4-dione (V) by means of diethyl azodicarboxylate (DEAD) and PPh3 in THF affords (VI), the trityl derivative of the target compound, which is finally treated with hot aqueous ethanol to eliminate the trityl group. 2) The condensation of 5-(4-hydroxybenzyl)thiazolidine-2,4-dione (VIII) with N-(2-hydroxyethoxy)phthalimide (VII) by means DEAD gives the adduct (IX), which is treated with hydrazine to eliminate the phthalimido group yielding the substituted hydroxylamine (X). Finally, this compound is condensed with 3-acetyl-6-phenylpyridine (XI) by means of TEA.

Drug Information Express,Drug R&D,Chemical Database,Patent Search.
Copyright © 2006-2026 Drug Future. All rights reserved.Contact Us