【药物名称】MF-8622
化学结构式(Chemical Structure):
参考文献No.29186
标题:Phenylcarbamate derivs. suitable to the use as anticholinesterase substances
作者:Terni, P.; Mairani, L.; Mandelli, G.; Pagella, P.G.; Marchesini, D.; Maiorana, S.; Brufani, M. (Mediolanum Farmaceutici)
来源:EP 0772608; US 5869484; WO 9602524
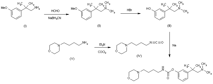
合成路线图解说明:

The reductomethylation of 2-(3-methoxyphenyl)-2-methylpropylamine (I) with formaldehyde and sodium cyanoborohydride in acetonitrile gives the dimethylamino compound (II), which is treated with refluxing 48% HBr to yield the phenol (III). Finally, this compound is condensed with 4-(4-morpholinyl)butyl isocyanate (IV) by means of Na in toluene. The intermediate isocyanate (IV) has been obtained by reaction of 4-(4-morpholinyl)butylamine with phosgene and triethylamine in toluene.

Drug Information Express,Drug R&D,Chemical Database,Patent Search.
Copyright © 2006-2026 Drug Future. All rights reserved.Contact Us