【药物名称】T-440
化学结构式(Chemical Structure):
参考文献No.21626
标题:Naphthalene derivs. processes for preparing the same, and synthetic intermediates thereof
作者:Iwasaki, T.; Kondo, K.; Ikezawa, K.; Kikkawa, H.; Yamagata, S. (Tanabe Seiyaku Co., Ltd.)
来源:EP 0557016; JP 1993229987; US 5342941
合成路线图解说明:

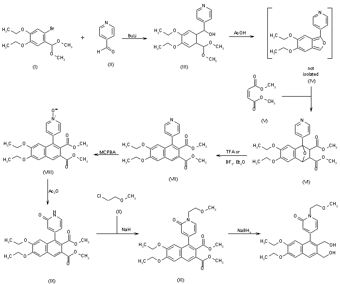
The condensation of 2-bromo-4,5-diethoxybenzaldehyde dimethyl ketal (I) with pyridine-4-carbaldehyde (II) by means of NaH in THF gives the expected addition product (III), which by treatment with acetic acid in refluxing toluene yields the isobenzofuran (IV) (unstable, not isolated compound) that is submitted immediately to a Diels-Alder cyclization with dimethyl maleate (V) to afford the epoxy-tetrahydronaphthalene (VI). The aromatization of (VI) with trifluoroacetic acid (TFA) in chloroform, or with BF3/ethyl ether in acetonitrile gives 6,7-diethoxy-1-(4-pyridyl)naphthalene-2,3-dicarboxylic acid dimethyl ester (VII). The oxidation of (VII) with m-chloroperbenzoic acid (MCPBA) in dichloromethane gives the corresponding N-oxide (VIII), which is isomerized to the pyridone (IX) by refluxing in acetic anhydride. The condensation of (IX) with 2-chloroethyl methyl ether (X) by means of NaH or Li in DMF affords the N-substituted pyridone (XI), which is finally reduced with NaBH4 in THF.

参考文献No.30841
标题:Antiasthma agent
作者:Iwasaki, T.; Kondo, K.; Ikesawa, I.; Yoshikawa, H.; Yamashina, S. (Tanabe Seiyaku Co., Ltd.)
来源:JP 1995101861
合成路线图解说明:

The condensation of 2-bromo-4,5-diethoxybenzaldehyde dimethyl ketal (I) with pyridine-4-carbaldehyde (II) by means of NaH in THF gives the expected addition product (III), which by treatment with acetic acid in refluxing toluene yields the isobenzofuran (IV) (unstable, not isolated compound) that is submitted immediately to a Diels-Alder cyclization with dimethyl maleate (V) to afford the epoxy-tetrahydronaphthalene (VI). The aromatization of (VI) with trifluoroacetic acid (TFA) in chloroform, or with BF3/ethyl ether in acetonitrile gives 6,7-diethoxy-1-(4-pyridyl)naphthalene-2,3-dicarboxylic acid dimethyl ester (VII). The oxidation of (VII) with m-chloroperbenzoic acid (MCPBA) in dichloromethane gives the corresponding N-oxide (VIII), which is isomerized to the pyridone (IX) by refluxing in acetic anhydride. The condensation of (IX) with 2-chloroethyl methyl ether (X) by means of NaH or Li in DMF affords the N-substituted pyridone (XI), which is finally reduced with NaBH4 in THF.

参考文献No.372709
标题:Novel selective PDE IV inhibitors as antiasthmatic agents. Synthesis and biological activities of a series of 1-aryl-2,3-bis(hydroxymethyl)naphthalene lignans
作者:Iwasaki, T.; Kondo, K.; Kuroda, T.; Moritani, Y.; Yamagata, S.; Sugiura, M.; Kikkawa, H.; Kaminuma, O.; Ikezawa, K.
来源:J Med Chem 1996,39(14),2696-704
合成路线图解说明:

The condensation of 2-bromo-4,5-diethoxybenzaldehyde dimethyl ketal (I) with pyridine-4-carbaldehyde (II) by means of NaH in THF gives the expected addition product (III), which by treatment with acetic acid in refluxing toluene yields the isobenzofuran (IV) (unstable, not isolated compound) that is submitted immediately to a Diels-Alder cyclization with dimethyl maleate (V) to afford the epoxy-tetrahydronaphthalene (VI). The aromatization of (VI) with trifluoroacetic acid (TFA) in chloroform, or with BF3/ethyl ether in acetonitrile gives 6,7-diethoxy-1-(4-pyridyl)naphthalene-2,3-dicarboxylic acid dimethyl ester (VII). The oxidation of (VII) with m-chloroperbenzoic acid (MCPBA) in dichloromethane gives the corresponding N-oxide (VIII), which is isomerized to the pyridone (IX) by refluxing in acetic anhydride. The condensation of (IX) with 2-chloroethyl methyl ether (X) by means of NaH or Li in DMF affords the N-substituted pyridone (XI), which is finally reduced with NaBH4 in THF.

参考文献No.414587
标题:T-440
作者:Graul, A.; Leeson, P.; Casta馿r, J.
来源:Drugs Fut 1997,22(7),729
合成路线图解说明:

The condensation of 2-bromo-4,5-diethoxybenzaldehyde dimethyl ketal (I) with pyridine-4-carbaldehyde (II) by means of NaH in THF gives the expected addition product (III), which by treatment with acetic acid in refluxing toluene yields the isobenzofuran (IV) (unstable, not isolated compound) that is submitted immediately to a Diels-Alder cyclization with dimethyl maleate (V) to afford the epoxy-tetrahydronaphthalene (VI). The aromatization of (VI) with trifluoroacetic acid (TFA) in chloroform, or with BF3/ethyl ether in acetonitrile gives 6,7-diethoxy-1-(4-pyridyl)naphthalene-2,3-dicarboxylic acid dimethyl ester (VII). The oxidation of (VII) with m-chloroperbenzoic acid (MCPBA) in dichloromethane gives the corresponding N-oxide (VIII), which is isomerized to the pyridone (IX) by refluxing in acetic anhydride. The condensation of (IX) with 2-chloroethyl methyl ether (X) by means of NaH or Li in DMF affords the N-substituted pyridone (XI), which is finally reduced with NaBH4 in THF.

参考文献No.575026
标题:An efficient synthesis of the anti-asthmatic agent T-440: A selective N-alkylation of 2-pyridone
作者:Sugahara, M.; Moritani, Y.; Kuroda, T.; Kondo, K.; Shimadzu, H.; Ukita, T.
来源:Chem Pharm Bull 2000,48(4),589
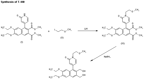
合成路线图解说明:

An efficient N-alkylation process suitable for the large-scale synthesis of T-440 has been reported: Alkylation of the previously reported pyridone (I) with 2-methoxyethyl iodide (II) by means of LiH in hot DMF gives the N-alkylated pyridone (II) purified by crystallization. Finally, this compound is reduced with NaBH4 and MeOH in refluxing THF.

Drug Information Express,Drug R&D,Chemical Database,Patent Search.
Copyright © 2006-2026 Drug Future. All rights reserved.Contact Us