【药物名称】ML-10375
化学结构式(Chemical Structure):
参考文献No.29040
标题:Esters of 4-amino-5-chloro-2-methoxybenzoic acid, process for their preparation and pharmaceutical compsns. containing them
作者:Langlois, M.; Guzzi, U.; Cecchi, R.; Croci, T. (Midy SpA)
来源:EP 0683161
合成路线图解说明:

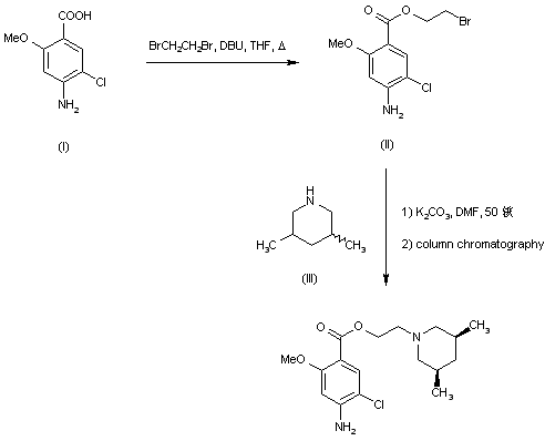
Reaction of 4-amino-5-chloro-2-methoxybenzoic acid (I) with 1,2-dibromoethane in the presence of 1,8-diazabicyclo[5.4.0]undec-7-ene afforded bromoethyl ester (II). This was then condensed with a mixture of cis and trans 3,5-dimethylpiperidines (III), and the resulting mixture of amines was finally separated by column chromatogaphy to provide the target cis compound.

参考文献No.412393
标题:New esters of 4-amino-5-chloro-2-methoxybenzoic acid as potent agonists and antagonists for 5-HT4 receptors
作者:Yang, D.; Soulier, J.-L.; Sicsic, S.; Mathe-Allainmat, M.; Bremont, B.; Croci, T.; Cardamone, R.; Aureggi, G.; Langlois, M.
来源:J Med Chem 1997,40(4),608
合成路线图解说明:

Reaction of 4-amino-5-chloro-2-methoxybenzoic acid (I) with 1,2-dibromoethane in the presence of 1,8-diazabicyclo[5.4.0]undec-7-ene afforded bromoethyl ester (II). This was then condensed with a mixture of cis and trans 3,5-dimethylpiperidines (III), and the resulting mixture of amines was finally separated by column chromatogaphy to provide the target cis compound.

Drug Information Express,Drug R&D,Chemical Database,Patent Search.
Copyright © 2006-2026 Drug Future. All rights reserved.Contact Us