【药物名称】AR-0510
化学结构式(Chemical Structure):
参考文献No.28516
标题:Novel fused-ring carboxylic acid cpds. or salt thereof,and medicinal use thereof
作者:Ono, S.; Yoshida, T.; Ashimori, A.; Kosaka, K.; Okada, T.; Maeda, K.; Eda, M.; Mori, F.; Inoue, Y.; Ebisu, H.; Imada, T.; Ikegawa, R.; Wang, F.; Nakamura, N. (Welfide Corporation)
来源:EP 0712844; JP 1996053398; JP 1996231548; US 5635527; US 5753670; WO 9533720
合成路线图解说明:

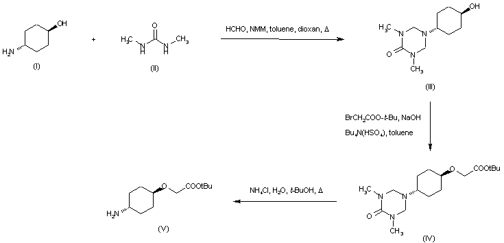
Selective O-alkylation of trans-4-aminocyclohexanol (I) was effected by protection of the amino group as the triazinone (III) upon treatment with N,N-dimethylurea and formaldehyde. Subsequent alkylation of (III) with tert-butyl bromoacetate under phase-transfer conditions afforded ether (IV). The protecting group of (IV) was then removed by treatment with ammonium chloride.

合成路线图解说明:

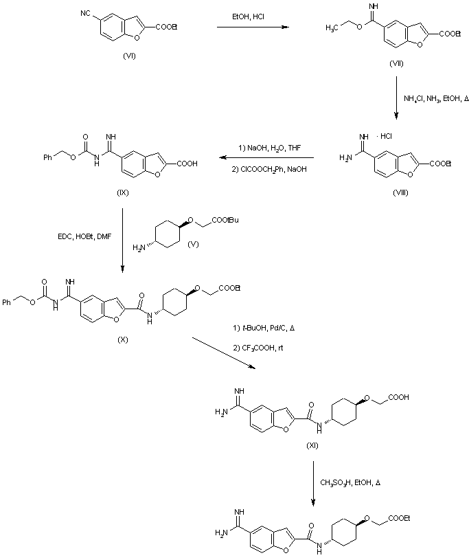
Pinner reaction of ethyl 5-cyano-2-benzofurancarboxylate (VI) gave imidate (VII) and subsequent treatment with ethanolic ammonia afforded amidine (VIII). After basic hydrolysis of the ester group of (VIII), protection with benzyl chloroformate provided the benzyloxycarbonyl derivative (IX). Coupling of (IX) with aminoester (V) in the presence of EDC and HOBt yielded amide (X). Sequential cleavage of benzyloxycarbonyl and tert-butyl groups orf (X) provided amidino acid (XI), which was finally esterified with EtOH and methanesulfonic acid.

合成路线图解说明:

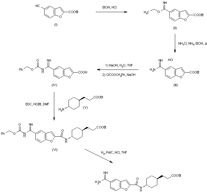
Pinner reaction of ethyl 5-cyano-2-benzofurancarboxylate (I) gave imidate (II) and subsequent treatment with ethanolic ammonia afforded amidine (III). After basic hydrolysis of the ester group of (III), protection with benzyl chloroformate provided the benzyloxycarbonyl derivative (IV). Coupling of (IV) with ethyl trans-3-(4-aminocyclohexyl)propionate (V) in the presence of EDC and HOBt yielded amide (VI). Finally, hydrogenolysis of the benzyloxycarbonyl protecting group of (VI) provided the title amidino ester.

参考文献No.562479
标题:Preparation and pharmacological evaluation of novel glycoprotein (Gp) IIb/IIIa antagonists. 2. Condensed heterocyclic derivatives
作者:Ono, S.; Yoshida, T.; Maeda, K.; Kosaka, K.; Inoue, Y.; Imada, T.; Fukaya, C.; Nakamura, N.
来源:Chem Pharm Bull 1999,47(12),1694
合成路线图解说明:

Selective O-alkylation of trans-4-aminocyclohexanol (I) was effected by protection of the amino group as the triazinone (III) upon treatment with N,N-dimethylurea and formaldehyde. Subsequent alkylation of (III) with tert-butyl bromoacetate under phase-transfer conditions afforded ether (IV). The protecting group of (IV) was then removed by treatment with ammonium chloride.

合成路线图解说明:

Pinner reaction of ethyl 5-cyano-2-benzofurancarboxylate (VI) gave imidate (VII) and subsequent treatment with ethanolic ammonia afforded amidine (VIII). After basic hydrolysis of the ester group of (VIII), protection with benzyl chloroformate provided the benzyloxycarbonyl derivative (IX). Coupling of (IX) with aminoester (V) in the presence of EDC and HOBt yielded amide (X). Sequential cleavage of benzyloxycarbonyl and tert-butyl groups orf (X) provided amidino acid (XI), which was finally esterified with EtOH and methanesulfonic acid.

合成路线图解说明:

Pinner reaction of ethyl 5-cyano-2-benzofurancarboxylate (I) gave imidate (II) and subsequent treatment with ethanolic ammonia afforded amidine (III). After basic hydrolysis of the ester group of (III), protection with benzyl chloroformate provided the benzyloxycarbonyl derivative (IV). Coupling of (IV) with ethyl trans-3-(4-aminocyclohexyl)propionate (V) in the presence of EDC and HOBt yielded amide (VI). Finally, hydrogenolysis of the benzyloxycarbonyl protecting group of (VI) provided the title amidino ester.

Drug Information Express,Drug R&D,Chemical Database,Patent Search.
Copyright © 2006-2026 Drug Future. All rights reserved.Contact Us