【药物名称】NVP-VID-400
化学结构式(Chemical Structure):
参考文献No.29038
标题:Acylated aminoalkanimidazoles and -triazoles
作者:Schuster, I.; Egger, H. (Novartis AG; Novartis Deutschland GmbH)
来源:CA 2149459; EP 0683156; JP 1996053422; US 5622982
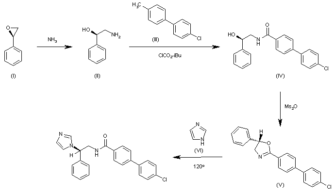
合成路线图解说明:

The reaction of (R)-2-phenyloxirane (I) with ammonia in ethanol gives 2-amino-1(R)-phenylethanol (II), which is condensed with 4'-chlorobiphenyl-4-carboxylic acid (III) by means of isobutyl chloroformate and TEA in DMF yielding the amide (IV). The cyclization of (IV) by means of methanesulfonic anhydride in pyridine affords the oxazoline (V), which is finally condensed with imidazole by heating at 120 C.

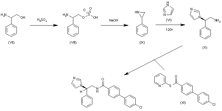
合成路线图解说明:

The esterification of 2(S)-amino-2-phenylethanol (VII) with hot sulfuric acid gives the expected O-sulfate (VIII), which by treatment with hot aqueous NaOH yields the aziridine (IX). The condensation of (IX) with imidazole (VI) by heating at 120 C affords 2(R)-(1-imidazolyl)-2-phenylethan-1-amine (X). Finally, this compound is condensed with 4'-chlorobiphenyl-4-thiocarboxylic acid 2-pyridylthioester in DMF.

参考文献No.559906
标题:C-14 labelling of NVPVID400 - a specific vitamin D-3-hydroxylase inhibitor
作者:Moenius, T.; et al.
来源:J Label Compd Radiopharm 1999,42(11),1053
合成路线图解说明:

The reaction of bromobenzene (I) with 14CO2 by means of Mg in ether gives the corresponding benzoic acid (II), which is treated with SOCl2 and DMAP to yield the benzoyl chloride (III). The homologation of (III) with diazomethane in ether affords the phenacyl chloride (IV), which is enantioselectively reduced with borane and a chiral borolidine catalyst in THF to give (R)-2-chloro-1-phenylethanol (V). The cyclization of (V) by means of NaOH in ethyl ether yields the oxirane (VI), which by reaction with ammonia is converted into the (R)-2-amino-1-phenylethanol (VII). The condensation of (VII) with 4'-chlorobiphenyl-4-carboxylic acid (VIII) by means of CDI in DMF provides the amide (IX), which is cyclized to the oxazoline (X) by means of methanesulfonic anhydride and TEA in THF. Finally, this compound is condensed with imidazole (XI) by heating at 125 C.

Drug Information Express,Drug R&D,Chemical Database,Patent Search.
Copyright © 2006-2026 Drug Future. All rights reserved.Contact Us