【药物名称】DZ-3358
化学结构式(Chemical Structure):
参考文献No.29825
标题:Pyrimidinylpyrazole deriv.
作者:Ejima, A.; Sugimori, M.; Mitsui, I. (Daiichi Pharmaceutical Co., Ltd.)
来源:EP 0784055; JP 1997048776; US 5852019; WO 9610024
合成路线图解说明:

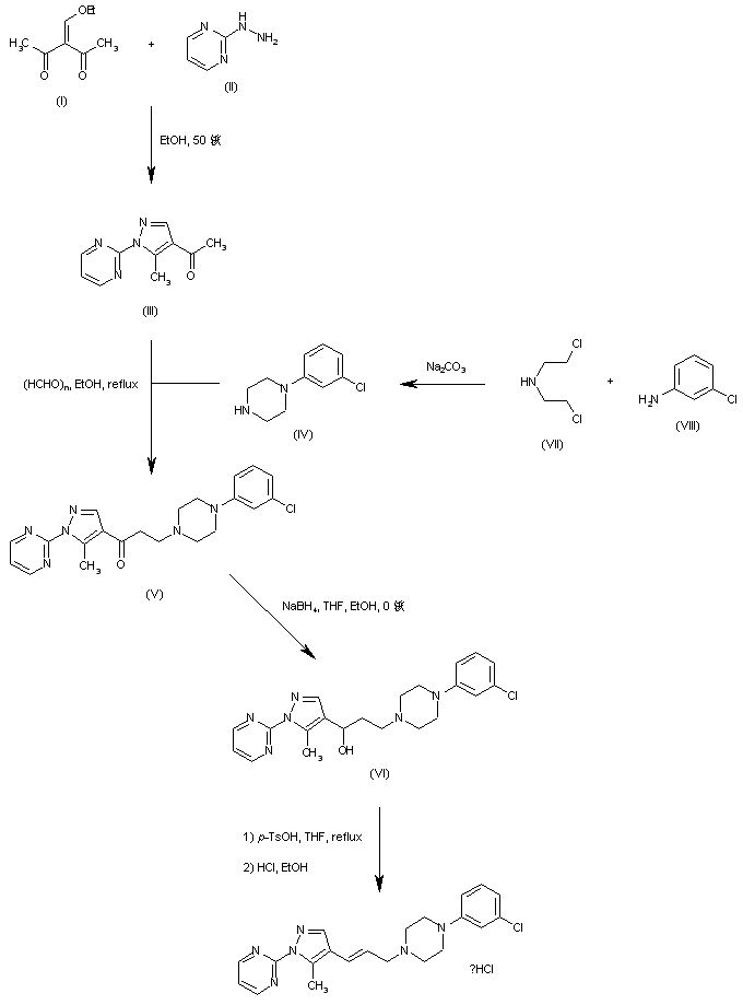
Pyrimidinyl pyrazole (III) was prepared by condensation of diketone (I) with 2-hydrazinopyrimidine (II). Subsequent Mannich reaction with N-(3-chlorophenyl)piperazine (IV) and paraformaldehyde furnished piperazinyl propanone (V). This was reduced to alcohol (VI) with NaBH4. Alcohol dehydration employing p-toluenesulfonic acid yielded the title compound, that was finally isolated as the hydrochloride salt. The intermediate N-(3-chlorophenyl)piperazine (IV) has been obtained by cyclization of bis(2-chloroethyl)amine (VII) with 3-chloroaniline (VIII) by means of Na2CO3 in refluxing butanol.

参考文献No.563183
标题:Synthesis and antitumor activity of novel pyrimidinyl pyrazole derivatives
作者:Naito, H.; Sugimori, M.; Mitsui, I.; Nakamura, Y.; Iwahana, M.; Ishii, M.; Hirotani, K.; Kumazawa, E.; Ejima, A.
来源:Chem Pharm Bull 1999,47(12),1679
合成路线图解说明:

Pyrimidinyl pyrazole (III) was prepared by condensation of diketone (I) with 2-hydrazinopyrimidine (II). Subsequent Mannich reaction with N-(3-chlorophenyl)piperazine (IV) and paraformaldehyde furnished piperazinyl propanone (V). This was reduced to alcohol (VI) with NaBH4. Alcohol dehydration employing p-toluenesulfonic acid yielded the title compound, that was finally isolated as the hydrochloride salt. The intermediate N-(3-chlorophenyl)piperazine (IV) has been obtained by cyclization of bis(2-chloroethyl)amine (VII) with 3-chloroaniline (VIII) by means of Na2CO3 in refluxing butanol.

参考文献No.900126
标题:
作者:
来源:DE 2038503; US 3723433
合成路线图解说明:

Pyrimidinyl pyrazole (III) was prepared by condensation of diketone (I) with 2-hydrazinopyrimidine (II). Subsequent Mannich reaction with N-(3-chlorophenyl)piperazine (IV) and paraformaldehyde furnished piperazinyl propanone (V). This was reduced to alcohol (VI) with NaBH4. Alcohol dehydration employing p-toluenesulfonic acid yielded the title compound, that was finally isolated as the hydrochloride salt. The intermediate N-(3-chlorophenyl)piperazine (IV) has been obtained by cyclization of bis(2-chloroethyl)amine (VII) with 3-chloroaniline (VIII) by means of Na2CO3 in refluxing butanol.

Drug Information Express,Drug R&D,Chemical Database,Patent Search.
Copyright © 2006-2026 Drug Future. All rights reserved.Contact Us