【药物名称】TAK-661
化学结构式(Chemical Structure):
参考文献No.21894
标题:Triazolopyridazines as antiasthmatics
作者:Miyake, A.; Kawano, Y.; Ashida, A. (Takeda Chemical Industries, Ltd.)
来源:EP 0562439; JP 1994279447; US 5389633; US 5482939
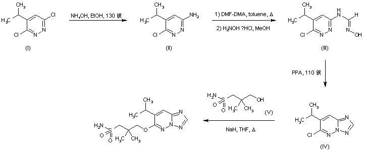
合成路线图解说明:

Treatment of 3,6-dichloro-4-isopropylpyridazine (I) with ethanolic ammonia in a sealed tube at 130-140 C provided aminopyridazine (II). Subsequent condensation of (II) with dimethylformamide dimethyl acetal in boiling toluene, followed by reaction with hydroxylamine hydrochloride furnished the formamide oxime (III). This was cyclized to the triazolopyridazine (IV) using polyphosphoric acid at 110 C. The remaining chloro atom of (IV) was finally displaced by 3-hydroxy-2,2-dimethyl-1-propanesulfonamide (V) in the presence of NaH in refluxing THF.

参考文献No.29784
标题:Triazolopyridazines process and intermediates for their preparation and their use as medicaments
作者:Kawano, Y.; Miyake, A.; Ashida, Y. (Takeda Chemical Industries, Ltd.)
来源:EP 0781283; JP 1996198878; JP 1997328485; WO 9608496
合成路线图解说明:

Treatment of 3,6-dichloro-4-isopropylpyridazine (I) with ethanolic ammonia in a sealed tube at 130-140 C provided aminopyridazine (II). Subsequent condensation of (II) with dimethylformamide dimethyl acetal in boiling toluene, followed by reaction with hydroxylamine hydrochloride furnished the formamide oxime (III). This was cyclized to the triazolopyridazine (IV) using polyphosphoric acid at 110 C. The remaining chloro atom of (IV) was finally displaced by 3-hydroxy-2,2-dimethyl-1-propanesulfonamide (V) in the presence of NaH in refluxing THF.

Drug Information Express,Drug R&D,Chemical Database,Patent Search.
Copyright © 2006-2026 Drug Future. All rights reserved.Contact Us