【药物名称】Mivotilate, YH-439
化学结构式(Chemical Structure):
参考文献No.33604
标题:Pharmaceutically active dithioketene derivs.
作者:Kim, C.S.; Chae, J.S.; Yoo, H.S.; Park, J.G.; Lee, J.W. (Yuhan Corp.)
来源:EP 0366614
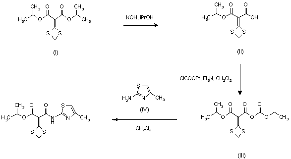
合成路线图解说明:

Partial hydrolysis of diisopropyl ester (I) with KOH at room temperature gives the monoacid (II). Treatment of this acid with ethyl chloroformate in the presence of triethylamine affords the mixed anhydride (III), which is then condensed with 2-amino-4-methylthiazole (IV).

Drug Information Express,Drug R&D,Chemical Database,Patent Search.
Copyright © 2006-2026 Drug Future. All rights reserved.Contact Us