【药物名称】KH-1266
化学结构式(Chemical Structure):
参考文献No.16073
标题:Novel vitamin D analogues
作者:Calverley, M.J.; Grue-S鴕ensen, G.; Binderup, E.T. (Leo Pharmaceutical Products Ltd. A/S)
来源:EP 0522013; JP 1993505613; US 5374629; WO 9115475
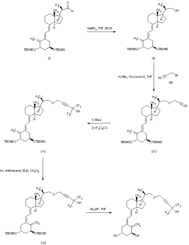
合成路线图解说明:

Reduction of vitamin D derivative (I) with NaBH4 in ethanol-THF affords alcohol (II), which is alkylated with propargyl bromide (III) and potassium tert-butoxide in the presence of a crown ether. The resulting propargyl ether (IV) is condensed with hexafluoroacetone, by means of butyl litium, to provide tertiary alcohol (V). This compound is then photochemically isomerized in the presence of anthracene as a sensitizer to give (VI). Final deprotection of TBDMS groups with tetrabutylammonium fluoride in THF yields the title compound.

合成路线图解说明:

Vitamin D derivative (I) was condensed with ethyllithium al low temperature to give, after chromatographic separation of isomers, alcohol (II). Alkylation of (II) with 6-bromo-3-ethyl-3-(trimethylsilyloxy)hexane (III) and potassium tert-butoxide in the presence of a crown ether afforded ether (IV), which was then photochemically isomerized in the presence of anthracene as a sensitizer to give (V). Final deprotection of silyl groups of (V) with 5% hydrogen fluoride in ethyl acetate-acetonitrile yielded the title compound.

Drug Information Express,Drug R&D,Chemical Database,Patent Search.
Copyright © 2006-2026 Drug Future. All rights reserved.Contact Us