【药物名称】BXT-51072
化学结构式(Chemical Structure):
参考文献No.33155
标题:Novel cpds. having a benzisoselen-azoline and -azine structure, method for preparating same and therapeutic uses thereof
作者:Erdelmeier, I.; Chaudiere, J.; Moutet, M.E.; Yadan, J.-C. (Oxis International, Inc.)
来源:JP 1999501005; US 5968920; WO 9527706
合成路线图解说明:

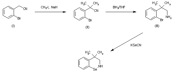
The methylation of 2-(2-bromophenyl)acetonitrile (I) with Me-I and NaH in THF gives 2-(2-bromophenyl)-2-methylpropionitrile (II), which is reduced with BH3/THF to yield 2-(2-bromophenyl)-2-methylpropylamine (III) (1). Finally, this compound is cyclized with potassium selenocyanate in DMF to afford the target 1,2-benzoselenazine.

参考文献No.604761
标题:Copper(I)-assisted mild and convenient synthesis of new Se-N heterocycles: Access to a promising class of GPx mimics
作者:Erdelmeier, I.; Tailhan-Lomont, C.; Yadan, J.C.
来源:J Org Chem 2000,65(24),8152
合成路线图解说明:

The methylation of 2-(2-bromophenyl)acetonitrile (I) with Me-I and NaH in THF gives 2-(2-bromophenyl)-2-methylpropionitrile (II), which is reduced with BH3/THF to yield 2-(2-bromophenyl)-2-methylpropylamine (III) (1). Finally, this compound is cyclized with potassium selenocyanate in DMF to afford the target 1,2-benzoselenazine.

Drug Information Express,Drug R&D,Chemical Database,Patent Search.
Copyright © 2006-2026 Drug Future. All rights reserved.Contact Us