【药物名称】FTI-277
化学结构式(Chemical Structure):
参考文献No.32817
标题:Inhibitors of prenyl transferases
作者:Sebti, S.; Hamilton, A. (University of Pittsburgh)
来源:JP 1998512266; WO 9621456
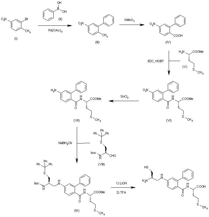
合成路线图解说明:

The condensation of 2-bromo-4-nitrotoluene (I) with phenylboronic acid (II) by means of Pd(OAc)2 in aqueous acetone gives the biphenyl (III), which is oxidized with KMnO4 in aqueous pyridine yielding the biphenyl-2-carboxylic acid (IV). The condensation of (IV) with L-methionine methyl ester (V) by means of EDC and HOBT affords the amide (VI), which is reduced with SnCl2 to give the 5-aminobiphenyl derivative (VII). The reductocondensation of (VII) with N-(tert-butoxycarbonyl)-S-trityl-L-cysteinal (VIII) by means of NaBH3CN affords the secondary amine (IX), which is finally deprotected with HgCl2 and H2S in methanol to furnish the target ester.

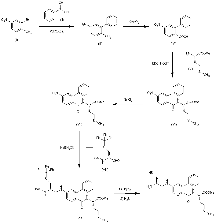
合成路线图解说明:

The condensation of 2-bromo-4-nitrotoluene (I) with phenylboronic acid (II) by means of Pd(OAc)2 in aqueous acetone gives the biphenyl (III), which is oxidized with KMnO4 in aqueous pyridine yielding the biphenyl-2-carboxylic acid (IV). The condensation of (IV) with L-methionine methyl ester (V) by means of EDC and HOBT affords the amide (VI), which is reduced with SnCl2 to give the 5-aminobiphenyl derivative (VII). The reductocondensation of (VII) with N-(tert-butoxycarbonyl)-S-trityl-L-cysteinal (VIII) by means of NaBH3CN affords the secondary amine (IX), which is finally deprotected and hydrolyzed first with LiOH and THF and then with TFA and Et3SiH in dichloromethane to furnish the target free acid.

参考文献No.562956
标题:Probing the hydrophobic pocket of farnesyltransferase: Aromatic substitution of CAAX peptidomimetics leads to highly potent inhibitors
作者:Qian, Y.; Marugan, J.J.; Fossum, R.D.; Vogt, A.; Sebti, S.M.; Hamilton, A.D.
来源:Bioorg Med Chem 1999,7(12),3011
合成路线图解说明:

The condensation of 2-bromo-4-nitrotoluene (I) with phenylboronic acid (II) by means of Pd(OAc)2 in aqueous acetone gives the biphenyl (III), which is oxidized with KMnO4 in aqueous pyridine yielding the biphenyl-2-carboxylic acid (IV). The condensation of (IV) with L-methionine methyl ester (V) by means of EDC and HOBT affords the amide (VI), which is reduced with SnCl2 to give the 5-aminobiphenyl derivative (VII). The reductocondensation of (VII) with N-(tert-butoxycarbonyl)-S-trityl-L-cysteinal (VIII) by means of NaBH3CN affords the secondary amine (IX), which is finally deprotected with HgCl2 and H2S in methanol to furnish the target ester.

合成路线图解说明:

The condensation of 2-bromo-4-nitrotoluene (I) with phenylboronic acid (II) by means of Pd(OAc)2 in aqueous acetone gives the biphenyl (III), which is oxidized with KMnO4 in aqueous pyridine yielding the biphenyl-2-carboxylic acid (IV). The condensation of (IV) with L-methionine methyl ester (V) by means of EDC and HOBT affords the amide (VI), which is reduced with SnCl2 to give the 5-aminobiphenyl derivative (VII). The reductocondensation of (VII) with N-(tert-butoxycarbonyl)-S-trityl-L-cysteinal (VIII) by means of NaBH3CN affords the secondary amine (IX), which is finally deprotected and hydrolyzed first with LiOH and THF and then with TFA and Et3SiH in dichloromethane to furnish the target free acid.

Drug Information Express,Drug R&D,Chemical Database,Patent Search.
Copyright © 2006-2026 Drug Future. All rights reserved.Contact Us