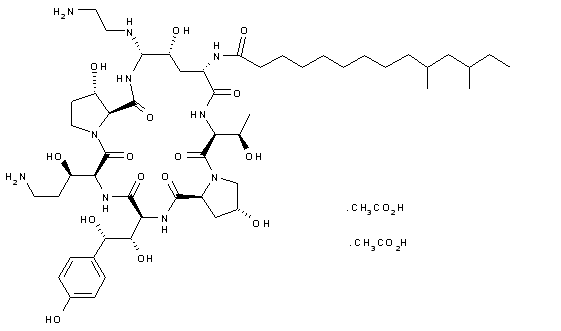
【药物名称】Caspofungin acetate, MK-0991, MK-991, L-743872, Caspofungin MSD, Cancidas
化学结构式(Chemical Structure):
参考文献No.24988
标题:Aza cyclohexapeptide cpds.
作者:Balkovec, J.M.; Bouffard, F.A.; Black, R.M. (Merck & Co., Inc.)
来源:CA 2118757; EP 0620232; JP 1994321986; US 5378804; WO 9421677
合成路线图解说明:

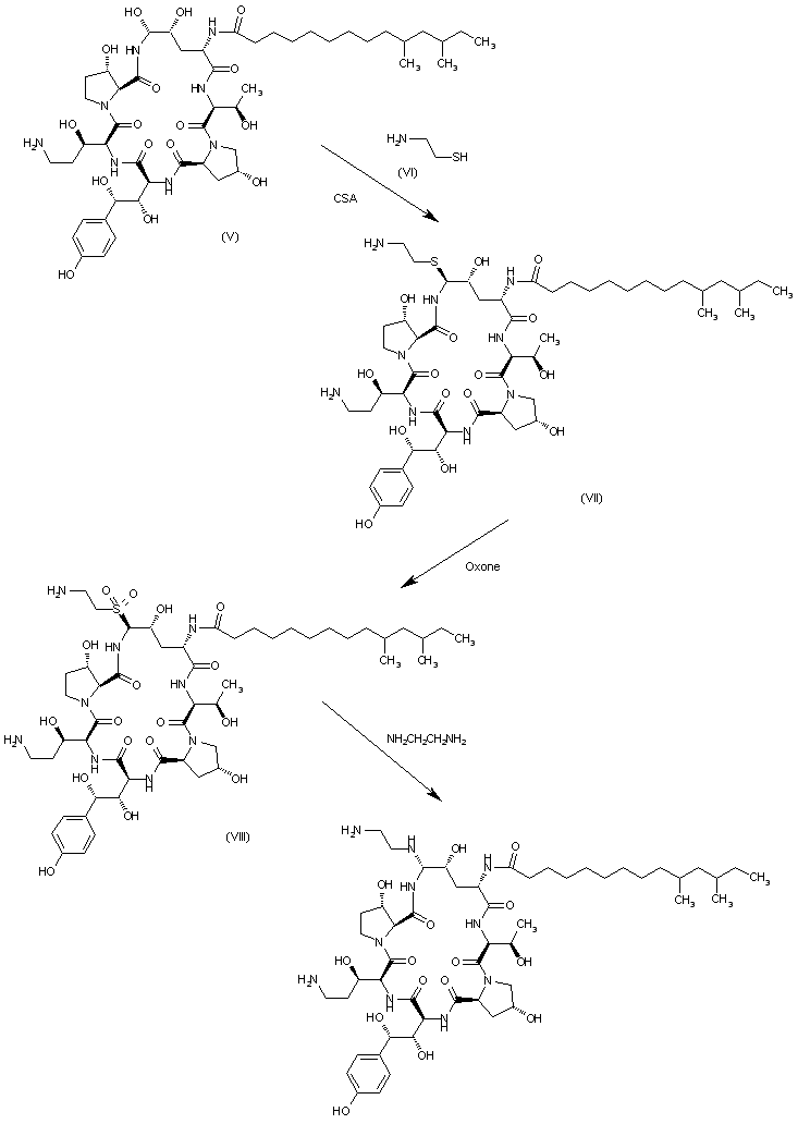
The reaction of cyclopeptide (V) with 2-sulfanylethylamine (VI) by means of camphorsulfonic acid (CSA) in DMF gives the epi-2-aminoethylsulfanyl compound (VII), which is oxidized with oxone in acetonitrile/water, affording the sulfone (VIII). Finally, this compound is treated with ethylenediamine in DMF to afford the target compound.

参考文献No.49692
标题:A process for preparing certain aza cyclohexapeptides
作者:Belyk, K.M.; Black, R.M.; Hugues, D.L.; Bender, D.R.; Leonard, W. (Merck & Co., Inc.)
来源:WO 9624613
合成路线图解说明:

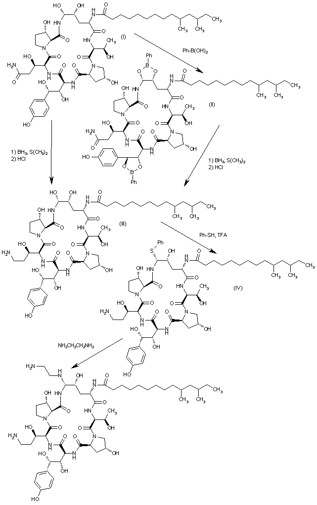
The reaction of cyclopeptide (I) with phenylboronic acid in THF gives the bis boronate (II), which is reduced at the carbamoyl group with BH3/S(Me)2 in THF and deprotected with HCl to afford the cyclopeptide (III). The reaction of (III) with thiophenol and TFA in acetonitrile affords the phenylsulfanyl derivative (IV), which is finally treated with ethylenediamine to afford the target compound. Alternatively, cyclopeptide (I) can be reduced directly to cyclopeptide (II) with BH3/S(Me)2 in THF.

参考文献No.49693
标题:Process for preparing certain aza cyclohexapeptides
作者:Hugues, D.L.; Belyk, K.M.; Black, R.M.; Bender, D.R.; Leonard, W. (Merck & Co., Inc.)
来源:US 5552521
合成路线图解说明:

The reaction of cyclopeptide (I) with phenylboronic acid in THF gives the bis boronate (II), which is reduced at the carbamoyl group with BH3/S(Me)2 in THF and deprotected with HCl to afford the cyclopeptide (III). The reaction of (III) with thiophenol and TFA in acetonitrile affords the phenylsulfanyl derivative (IV), which is finally treated with ethylenediamine to afford the target compound. Alternatively, cyclopeptide (I) can be reduced directly to cyclopeptide (II) with BH3/S(Me)2 in THF.

参考文献No.49694
标题:A process for preparing certain aza cyclohexapeptides
作者:Leonard, W.; Belyk, K.M. (Merck & Co., Inc.)
来源:WO 9747645
合成路线图解说明:

The reaction of cyclopeptide (I) with phenylboronic acid in THF gives the bis boronate (II), which is reduced at the carbamoyl group with BH3/S(Me)2 in THF and deprotected with HCl to afford the cyclopeptide (III). The reaction of (III) with thiophenol and TFA in acetonitrile affords the phenylsulfanyl derivative (IV), which is finally treated with ethylenediamine to afford the target compound. Alternatively, cyclopeptide (I) can be reduced directly to cyclopeptide (II) with BH3/S(Me)2 in THF.

参考文献No.49696
标题:Process for preparing certain aza cyclohexapeptides
作者:Leonard, W.; Belyk, K.M. (Merck & Co., Inc.)
来源:US 5936062
合成路线图解说明:

The reaction of cyclopeptide (I) with phenylboronic acid in THF gives the bis boronate (II), which is reduced at the carbamoyl group with BH3/S(Me)2 in THF and deprotected with HCl to afford the cyclopeptide (III). The reaction of (III) with thiophenol and TFA in acetonitrile affords the phenylsulfanyl derivative (IV), which is finally treated with ethylenediamine to afford the target compound. Alternatively, cyclopeptide (I) can be reduced directly to cyclopeptide (II) with BH3/S(Me)2 in THF.

参考文献No.49698
标题:Antifungal compsns.
作者:Kaufman, M.J.; Hunke, W.A.; Neururkar, M.J. (Merck & Co., Inc.)
来源:US 6136783
合成路线图解说明:

The reaction of cyclopeptide (I) with phenylboronic acid in THF gives the bis boronate (II), which is reduced at the carbamoyl group with BH3/S(Me)2 in THF and deprotected with HCl to afford the cyclopeptide (III). The reaction of (III) with thiophenol and TFA in acetonitrile affords the phenylsulfanyl derivative (IV), which is finally treated with ethylenediamine to afford the target compound. Alternatively, cyclopeptide (I) can be reduced directly to cyclopeptide (II) with BH3/S(Me)2 in THF.

参考文献No.49699
标题:Aza cyclohexapeptide cpds.
作者:Balkovec, J.M.; Black, R.M.; Bouffard, F.A. (Merck & Co., Inc.)
来源:US 5792746
合成路线图解说明:

The reaction of cyclopeptide (V) with 2-sulfanylethylamine (VI) by means of camphorsulfonic acid (CSA) in DMF gives the epi-2-aminoethylsulfanyl compound (VII), which is oxidized with oxone in acetonitrile/water, affording the sulfone (VIII). Finally, this compound is treated with ethylenediamine in DMF to afford the target compound.

Drug Information Express,Drug R&D,Chemical Database,Patent Search.
Copyright © 2006-2026 Drug Future. All rights reserved.Contact Us