【药物名称】Ertapenem sodium, MK-0826, MK-826, ZD-4433, L-749345, Invanz
化学结构式(Chemical Structure):
参考文献No.21560
标题:Carbapenems containing a carboxy substd. phenyl group, processes for their preparation, intermediates and use as antibiotics
作者:Betts, M.J.; Davies, G.M.; Swain, M.L. (AstraZeneca plc)
来源:EP 0579826; JP 1994506704; US 5478820; US 5652233; US 5856321; WO 9315078
合成路线图解说明:

MK-0826 can be synthesized as follows: The cyclization of 2-diazo-4-[3-(1-hydroxyethyl)-4-oxoazetidin-2-yl]-3-oxopentanoic acid allyl ester (I) by means of rhodium octanoate gives the 2-oxocarbapenam derivative (II), which by reaction with chlorophosphoric acid diphenyl ester (III) and DIEA in acetonitrile yields the enol phosphate (IV). Condensation of (IV) with the sulfanylpyrrolidine (V) by means of DIEA in acetonitrile affords the corresponding addition compound MK-0826 diallyl ester (VI), which is finally deprotected by means of Meldrum's acid and Pd(PPh3)4 in DMF/THF and converted to the sodium salt.

合成路线图解说明:

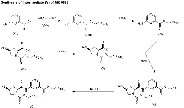
The sulfanylpyrrolidine (V) can be obtained as follows: Esterification of 3-nitrobenzoic acid (VII) with allyl bromide and K2CO3 in DMF gives the corresponding allyl ester (VIII), which is reduced with SnCl2 in refluxing ethyl acetate to yield the 3-aminobenzoate (IX). The condensation of (IX) with the pyrrolidinecarbonyl chloride (X), obtained from the corresponding carboxylic acid (XI) and oxalyl chloride, by means of NMM in dichloro-methane affords the expected amide (XII), which is finally deacetylated with NaOH in allyl alcohol.

参考文献No.44053
标题:Process for synthesizing carbapenem antibiotics
作者:Houghton, P.; Williams, J.M.; Skerlj, R.; Brands, K.M.J. (Merck & Co., Inc.)
来源:WO 9945010
合成路线图解说明:

MK-0826 can be synthesized as follows: The cyclization of 2-diazo-4-[3-(1-hydroxyethyl)-4-oxoazetidin-2-yl]-3-oxopentanoic acid allyl ester (I) by means of rhodium octanoate gives the 2-oxocarbapenam derivative (II), which by reaction with chlorophosphoric acid diphenyl ester (III) and DIEA in acetonitrile yields the enol phosphate (IV). Condensation of (IV) with the sulfanylpyrrolidine (V) by means of DIEA in acetonitrile affords the corresponding addition compound MK-0826 diallyl ester (VI), which is finally deprotected by means of Meldrum's acid and Pd(PPh3)4 in DMF/THF and converted to the sodium salt.

参考文献No.588666
标题:MK-0826
作者:Leeson, P.A.; Rabasseda, X.; Casta馿r, J.; Sorbera, L.A.
来源:Drugs Fut 2000,25(8),795
合成路线图解说明:

MK-0826 can be synthesized as follows: The cyclization of 2-diazo-4-[3-(1-hydroxyethyl)-4-oxoazetidin-2-yl]-3-oxopentanoic acid allyl ester (I) by means of rhodium octanoate gives the 2-oxocarbapenam derivative (II), which by reaction with chlorophosphoric acid diphenyl ester (III) and DIEA in acetonitrile yields the enol phosphate (IV). Condensation of (IV) with the sulfanylpyrrolidine (V) by means of DIEA in acetonitrile affords the corresponding addition compound MK-0826 diallyl ester (VI), which is finally deprotected by means of Meldrum's acid and Pd(PPh3)4 in DMF/THF and converted to the sodium salt.

合成路线图解说明:

The sulfanylpyrrolidine (V) can be obtained as follows: Esterification of 3-nitrobenzoic acid (VII) with allyl bromide and K2CO3 in DMF gives the corresponding allyl ester (VIII), which is reduced with SnCl2 in refluxing ethyl acetate to yield the 3-aminobenzoate (IX). The condensation of (IX) with the pyrrolidinecarbonyl chloride (X), obtained from the corresponding carboxylic acid (XI) and oxalyl chloride, by means of NMM in dichloro-methane affords the expected amide (XII), which is finally deacetylated with NaOH in allyl alcohol.

Drug Information Express,Drug R&D,Chemical Database,Patent Search.
Copyright © 2006-2026 Drug Future. All rights reserved.Contact Us