【药物名称】PD-123497, RSD-921
化学结构式(Chemical Structure):
参考文献No.22088
标题:Aminocyclohexylamides for antiarrhythmic and anaesthetic uses
作者:MacLeod, B.A.; Walker, M.J.A.; Wall, R.A. (University of British Columbia)
来源:EP 0632806; JP 1995505151; US 5506257; WO 9319056
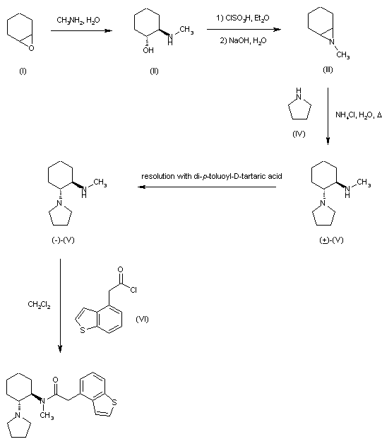
合成路线图解说明:

Ring opening of cyclohexene oxide (I) with aqueous methylamine gave trans 2-(methylamino)cyclohexanol (II), which was further cyclized to the aziridine (III) upon treatment with chlorosulfonic acid and then with NaOH. Subsequent condensation of (III) with pyrrolidine (IV) yielded the racemic trans diamine (V). Resolution was achieved by fractional crystallization of the 2,3-di-p-toluoyl-D-tartaric acid salt in MeOH. The required (-)-(R,R) enantiomer was finally coupled with 4-benzothiopheneacetyl chloride (VI) to provide the corresponding amide.

参考文献No.40302
标题:Mixtures of enantiomers of aminocyclohexylamides to produce simultaneous analgesia with local anaesthesia or antiarrhythmia
作者:Bain, A.I. (Nortran Pharmaceuticals Inc.)
来源:WO 9916431
合成路线图解说明:

Ring opening of cyclohexene oxide (I) with aqueous methylamine gave trans 2-(methylamino)cyclohexanol (II), which was further cyclized to the aziridine (III) upon treatment with chlorosulfonic acid and then with NaOH. Subsequent condensation of (III) with pyrrolidine (IV) yielded the racemic trans diamine (V). Resolution was achieved by fractional crystallization of the 2,3-di-p-toluoyl-D-tartaric acid salt in MeOH. The required (-)-(R,R) enantiomer was finally coupled with 4-benzothiopheneacetyl chloride (VI) to provide the corresponding amide.

参考文献No.87901
标题:Highly selective kappa opioid analgesics. Synthesis and structure-activity relationships of novel N-[(2-aminocyclohexyl)aryl]acetamide and N-[(2-aminocyclohexyl)aryloxy]acetamide derivatives
作者:Clark, C.R.; Halfpenny, P.R.; Hill, R.G.; Horwell, D.C.; Hughes, J.; Jarvis, T.C.; Rees, D.C.; Schofield, D.
来源:J Med Chem 1988,31(4),831
合成路线图解说明:

Ring opening of cyclohexene oxide (I) with aqueous methylamine gave trans 2-(methylamino)cyclohexanol (II), which was further cyclized to the aziridine (III) upon treatment with chlorosulfonic acid and then with NaOH. Subsequent condensation of (III) with pyrrolidine (IV) yielded the racemic trans diamine (V). Resolution was achieved by fractional crystallization of the 2,3-di-p-toluoyl-D-tartaric acid salt in MeOH. The required (-)-(R,R) enantiomer was finally coupled with 4-benzothiopheneacetyl chloride (VI) to provide the corresponding amide.

Drug Information Express,Drug R&D,Chemical Database,Patent Search.
Copyright © 2006-2026 Drug Future. All rights reserved.Contact Us