【药物名称】NSC-651016
化学结构式(Chemical Structure):
参考文献No.15482
标题:New ureido derivs. of poly-4-amino-2-carboxy-1-methyl cpds.
作者:Mongelli, N.; Biasoli, G.; Paio, A.; Grandi, M.; Ciomei, M. (Pharmacia Corp.)
来源:EP 0462258; JP 1992504426; US 5260329; US 5420296; WO 9110649
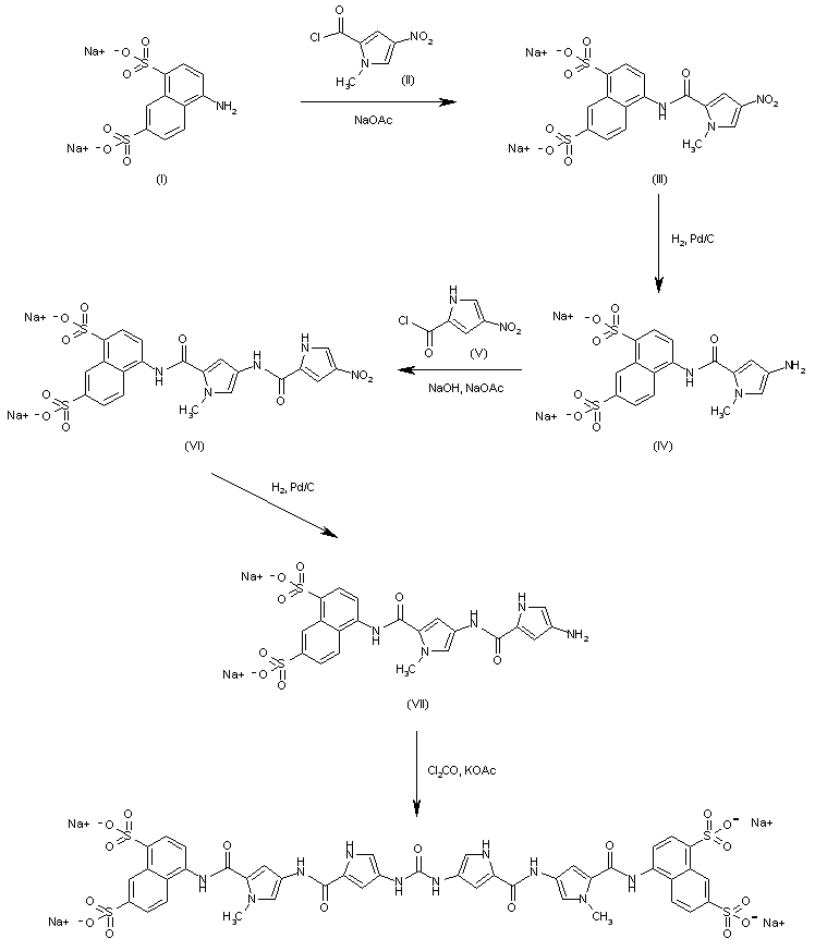
合成路线图解说明:

The reaction of 4-aminonaphthalene-1,7-disulfonic acid disodium salt (I) with 1-methyl-4-nitropyrrole-2-carbonyl chloride (II) by means of NaOAc in water gives the corresponding nitro-amide (III), which is reduced with H2 over Pd/C in water to the amino-amide (IV). The reaction of (IV) with 4-nitropyrrole-2-carbonyl chloride (V) by means of NaOH and NaOAc yields the nitro-diamide (VI), which is reduced with H2 over Pd/C as before affording the amino-diamide (VII). Finally, this compound is dimerized by reaction with phosgene and KOAc in dioxane/water.

参考文献No.474336
标题:Inhibition of in vitro and in vivo HIV replication by a distamycin analogue that interferes with chemokine receptor function: A candidate for chemotherapeutic and microbicidal application
作者:Howard, O.M.Z.; Oppenheim, J.J.; Hollisgshead, M.G.; Covey, J.M.; Bigelow, J.; McCormack, J.J.; Buckheit, R.W.; Clanton, D.J.; Turpin, J.A.; Rice, W.G.
来源:J Med Chem 1998,41(13),2184
合成路线图解说明:

The reaction of 4-aminonaphthalene-1,7-disulfonic acid disodium salt (I) with 1-methyl-4-nitropyrrole-2-carbonyl chloride (II) by means of NaOAc in water gives the corresponding nitro-amide (III), which is reduced with H2 over Pd/C in water to the amino-amide (IV). The reaction of (IV) with 4-nitropyrrole-2-carbonyl chloride (V) by means of NaOH and NaOAc yields the nitro-diamide (VI), which is reduced with H2 over Pd/C as before affording the amino-diamide (VII). Finally, this compound is dimerized by reaction with phosgene and KOAc in dioxane/water.

Drug Information Express,Drug R&D,Chemical Database,Patent Search.
Copyright © 2006-2026 Drug Future. All rights reserved.Contact Us