【药物名称】Ajulemic acid, IP-751, DMH-THC-11-OIC, CT-3
化学结构式(Chemical Structure):
参考文献No.43299
标题:(3R,4R)-DELTA6-Tetrahydrocannabinol-7-oic acids
作者:Mechoulam, R.; Burstein, S.H.
来源:US 5338753; WO 9401429
合成路线图解说明:

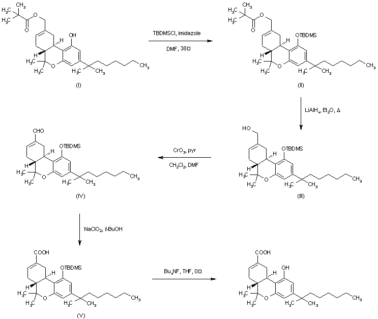
The known tetrahydrocannabinol analogue (I) was protected as the silyl ether (II) upon treatment with tert-butyldimethylsilyl chloride and imidazole. Reductive cleavage of the pivaloyl group of (II) by means of LiAlH4 afforded the free allylic alcohol (III). Oxidation with chromic oxide in pyridine led to the aldehyde (IV), which was further oxidized to the acid (V) with sodium chlorite. Finally, removal of the silyl protecting group of (V) employing tetrabutylammonium fluoride furnished the title compound.

参考文献No.577264
标题:Synthetic nonpsychotropic cannabinoids with potent antiinflammatory, analgesic, and leukocyte antiadhesion activities
作者:Burnstein, S.H.; Audette, C.A.; Breuer, A.; Devane, W.A.; Colodner, S.; Doyle, S.A.; Mechoulam, R.
来源:J Med Chem 1992,35(17),3135
合成路线图解说明:

The known tetrahydrocannabinol analogue (I) was protected as the silyl ether (II) upon treatment with tert-butyldimethylsilyl chloride and imidazole. Reductive cleavage of the pivaloyl group of (II) by means of LiAlH4 afforded the free allylic alcohol (III). Oxidation with chromic oxide in pyridine led to the aldehyde (IV), which was further oxidized to the acid (V) with sodium chlorite. Finally, removal of the silyl protecting group of (V) employing tetrabutylammonium fluoride furnished the title compound.

参考文献No.615769
标题:Ajulemic Acid
作者:Burnstein, S.
来源:Drugs Fut 2001,26(4),342
合成路线图解说明:

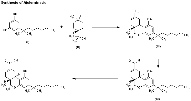
The aromatic portion of the molecule is generated by the condensation of 1,6-dimethoxyphenol with 1,1-dimethylheptanol in the presence of methanesulfonic acid at 50 C. The crude product is then esterified with diethyl phosphite and triethylamine with cooling to yield the diethyl phosphate derivative. Reduction with lithium in liquid ammonia produces 1-(1',1'-dimethylheptyl)-3,5-hydroxybenzene (I) which is processed crude to the next step. This involves the condensation of the p-menthenediol (II) with the dimethylheptyl resorcinol (I) catalyzed by p-toluenesulfonic acid to give the dimethylheptyl analog of DELTA8-THC (III). Following acetylation of the phenolic group, the allylic methyl group is oxidized to the aldehyde (IV) using selenium dioxide. Further oxidation to the carboxylic acid is accomplished by the use of sodium chlorite. Finally, ajulemic acid is obtained by removal of the acetyl group with sodium carbonate in aqueous methanol.

Drug Information Express,Drug R&D,Chemical Database,Patent Search.
Copyright © 2006-2026 Drug Future. All rights reserved.Contact Us