【药物名称】ReN-1869, NNC-05-1869
化学结构式(Chemical Structure):
参考文献No.27519
标题:Novel heterocyclic cpds.
作者:Andersen, K.E.; Olsen, U.B.; Petersen, H.; Gr鴑vald, F.C.; Sonnewald, U.; J鴕gensen, T.K.; Andersen, H.S. (Novo Nordisk A/S)
来源:US 5595989; US 5668129; US 5688788; US 5693649; US 5712292; US 5721254; US 5795888; US 6043239; WO 9518793
合成路线图解说明:

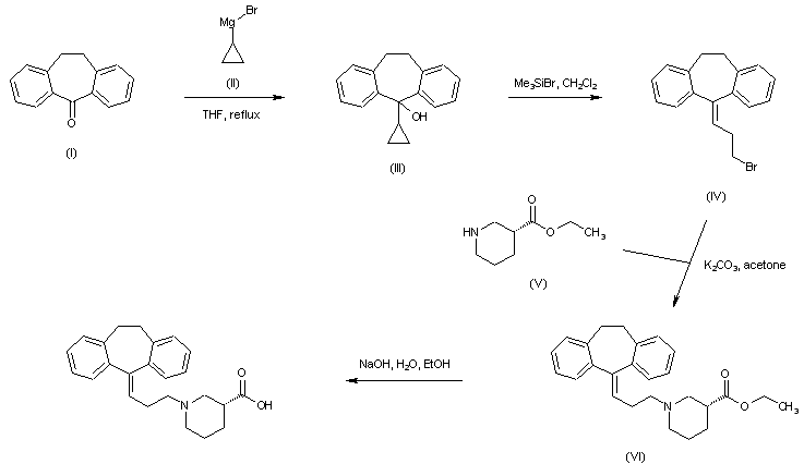
Addition of cyclopropylmagnesium bromide (II) to dibenzocycloheptanone (I) afforded the carbinol adduct (III), which was further rearranged to the bromopropylidene derivative (IV) upon treatment with bromotrimethylsilane. Alkylation of ethyl (R)-nipecotate (V) with bromide (IV) gave the tertiary amine (VI). The ethyl ester group of (VI) was finally hydrolyzed under basic conditions to furnish the corresponding carboxylic acid.

参考文献No.33647
标题:Novel method
作者:Olsen, U.B. (Novo Nordisk A/S)
来源:JP 1999507947; WO 9722338
合成路线图解说明:

Addition of cyclopropylmagnesium bromide (II) to dibenzocycloheptanone (I) afforded the carbinol adduct (III), which was further rearranged to the bromopropylidene derivative (IV) upon treatment with bromotrimethylsilane. Alkylation of ethyl (R)-nipecotate (V) with bromide (IV) gave the tertiary amine (VI). The ethyl ester group of (VI) was finally hydrolyzed under basic conditions to furnish the corresponding carboxylic acid.

参考文献No.673533
标题:Radiolabelling of NNC 05-1869, a compound for treatment of diabetic neuropathy
作者:Valsborg, J.S.; Foged, C.
来源:J Label Compd Radiopharm 2002,45(4),351
合成路线图解说明:

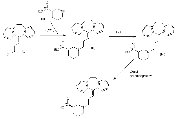
The condensation of dibenzocycloheptylidene derivative (I) with radiolabelled piperidine-3-carboxylic acid ethyl ester (II) by means of K2CO3 in ethyl acetate gives the adduct (III), which is hydrolyzed with aqueous HCl to yield the carboxylic acid (IV). Finally, this compound is submitted to optical resolution by means of chiral chromatography to provide the chiral radiolabelled compound.

合成路线图解说明:

The reduction of 1-[3-(10,11-dihydro-5H-dibenzo[a,d]cyclohepten-5-ylidene)propyl]-1,2,5,6-tetrahydropyridine-3-carboxylic acid (I) with tritium over PdO in methanol gives the racemic ditritiated compound (II), which is then submitted to optical resolution by chiral chromatography to afford the chiral radiolabelled compound.

Drug Information Express,Drug R&D,Chemical Database,Patent Search.
Copyright © 2006-2026 Drug Future. All rights reserved.Contact Us