【药物名称】S-17834
化学结构式(Chemical Structure):
参考文献No.29525
标题:Diosmetin derivs., process for their preparation and pharmaceutical compsns. containing them
作者:Wierzbicki, M.; Boussard, M.-F.; Verbeuren, T.; Vallez, M.-O.; Canet, E.; Rolland, Y. (ADIR et Cie.)
来源:CA 2161297; EP 0709383; FR 2726273; JP 1996225563; US 5629339
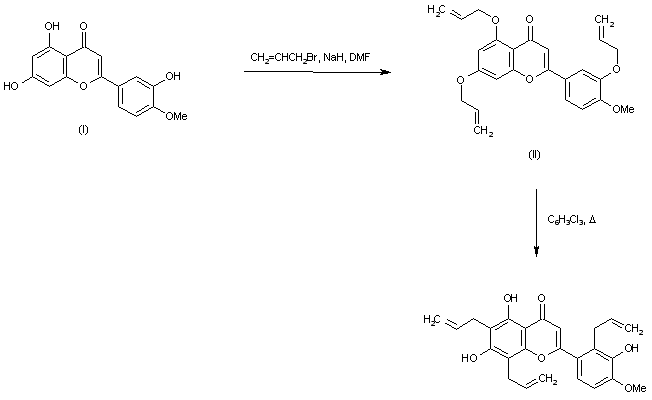
合成路线图解说明:

The alkylation of diosmetin (I) with allyl bromide in the presence of NaH in DMF furnished the triallyl ether (II). Claisen rearrangement of (II) in refluxing trichlorobenzene then gave the title compound.

Drug Information Express,Drug R&D,Chemical Database,Patent Search.
Copyright © 2006-2026 Drug Future. All rights reserved.Contact Us