【药物名称】Vofopitant hydrochloride, GR-205171A, GR-205171(free base)
化学结构式(Chemical Structure):
参考文献No.29073
标题:3-(5-Tetrazolyl-benzyl)amino-piperidine derivs. an
作者:Armour, D.R.; Evans, B.; Giblin, G.M.P.; Hann, M.M.; Hubbard, T.; Lewell, X.; Middlemiss, D.; Naylor, A.; Pegg, N.A.; Vinader, M.V.; Watson, S.P. (Glaxo Wellcome plc)
来源:EP 0720609; JP 1999106341; US 5703240; US 5843966; WO 9508549
合成路线图解说明:

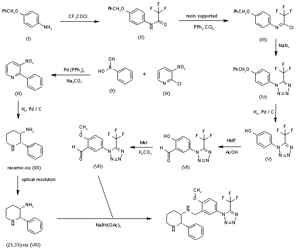
The acylation of 4-benzyloxyaniline (I) with trifluoroacetyl chloride and triethylamine in dichloromethane gives the corresponding amide (II), which is treated with resin-supported triphenylphosphine and CCl4 to yield the iminochloride (III). The cyclization of (III) with sodium azide in hot acetic acid affords the tetrazole (IV), which is debenzylated with H2 over Pd/C in ethanol/THF, giving the phenol (V). The reaction of (V) with hexamethylenetetramine (HMT) in hot trifluoroacetic acid yields the benzaldehyde (VI), which by methylation with methyl iodide/K2CO3 in acetone affords 2-methoxy-5-[5-(trifluoromethyl)tetrazol-1-yl]benzaldehyde (VII). Finally, this compound is reductocondensed with (2S,3S)-2-phenylpiperidin-3-amine (VIII) by means of sodium triacetoxyborohydride/acetic acid in dichloromethane. The chiral (2S,3S)-2-phenylpiperidin-3-amine (VIII) has been obtained as follows: The condensation of 2-chloro-3-nitropyridine (IX) with phenylboronic acid (X) by means of palladium tetrakis(triphenylphosphine) and Na2CO3 in dimethoxyethane gives 3-nitro-2-phenylpyridine (XI), which is hydrogenated with H2 over Pd/C in ethanol/HCl, yielding (?-cis-2-phenylpiperidin-3-amine (XII). Finally, this compound is submitted to optical resolution by means of di-p-toluoyl-L-tartaric acid in ethanol/water.

参考文献No.369382
标题:Tetrazole NK1 receptor antagonists: The identifica
作者:Congreve, M.; Chung, K.M.L.; Armour, D.R.; et al.
来源:Bioorg Med Chem Lett 1996,6(9),1015
合成路线图解说明:

The acylation of 4-benzyloxyaniline (I) with trifluoroacetyl chloride and triethylamine in dichloromethane gives the corresponding amide (II), which is treated with resin-supported triphenylphosphine and CCl4 to yield the iminochloride (III). The cyclization of (III) with sodium azide in hot acetic acid affords the tetrazole (IV), which is debenzylated with H2 over Pd/C in ethanol/THF, giving the phenol (V). The reaction of (V) with hexamethylenetetramine (HMT) in hot trifluoroacetic acid yields the benzaldehyde (VI), which by methylation with methyl iodide/K2CO3 in acetone affords 2-methoxy-5-[5-(trifluoromethyl)tetrazol-1-yl]benzaldehyde (VII). Finally, this compound is reductocondensed with (2S,3S)-2-phenylpiperidin-3-amine (VIII) by means of sodium triacetoxyborohydride/acetic acid in dichloromethane. The chiral (2S,3S)-2-phenylpiperidin-3-amine (VIII) has been obtained as follows: The condensation of 2-chloro-3-nitropyridine (IX) with phenylboronic acid (X) by means of palladium tetrakis(triphenylphosphine) and Na2CO3 in dimethoxyethane gives 3-nitro-2-phenylpyridine (XI), which is hydrogenated with H2 over Pd/C in ethanol/HCl, yielding (?-cis-2-phenylpiperidin-3-amine (XII). Finally, this compound is submitted to optical resolution by means of di-p-toluoyl-L-tartaric acid in ethanol/water.

参考文献No.482256
标题:GR-205171
作者:Silvestre, J.S.; Casta馿r, J.; Sorbera, L.A.
来源:Drugs Fut 1999,24(3),254
合成路线图解说明:

The acylation of 4-benzyloxyaniline (I) with trifluoroacetyl chloride and triethylamine in dichloromethane gives the corresponding amide (II), which is treated with resin-supported triphenylphosphine and CCl4 to yield the iminochloride (III). The cyclization of (III) with sodium azide in hot acetic acid affords the tetrazole (IV), which is debenzylated with H2 over Pd/C in ethanol/THF, giving the phenol (V). The reaction of (V) with hexamethylenetetramine (HMT) in hot trifluoroacetic acid yields the benzaldehyde (VI), which by methylation with methyl iodide/K2CO3 in acetone affords 2-methoxy-5-[5-(trifluoromethyl)tetrazol-1-yl]benzaldehyde (VII). Finally, this compound is reductocondensed with (2S,3S)-2-phenylpiperidin-3-amine (VIII) by means of sodium triacetoxyborohydride/acetic acid in dichloromethane. The chiral (2S,3S)-2-phenylpiperidin-3-amine (VIII) has been obtained as follows: The condensation of 2-chloro-3-nitropyridine (IX) with phenylboronic acid (X) by means of palladium tetrakis(triphenylphosphine) and Na2CO3 in dimethoxyethane gives 3-nitro-2-phenylpyridine (XI), which is hydrogenated with H2 over Pd/C in ethanol/HCl, yielding (?-cis-2-phenylpiperidin-3-amine (XII). Finally, this compound is submitted to optical resolution by means of di-p-toluoyl-L-tartaric acid in ethanol/water.

参考文献No.569208
标题:Synthesis of carbon-14 labelled NK-1 receptor antagonists GR203040 and GR205171
作者:Sutherland, D.R.; Cable, K.M.; Wells, G.N.
来源:J Label Compd Radiopharm 2000,43(1),29
合成路线图解说明:

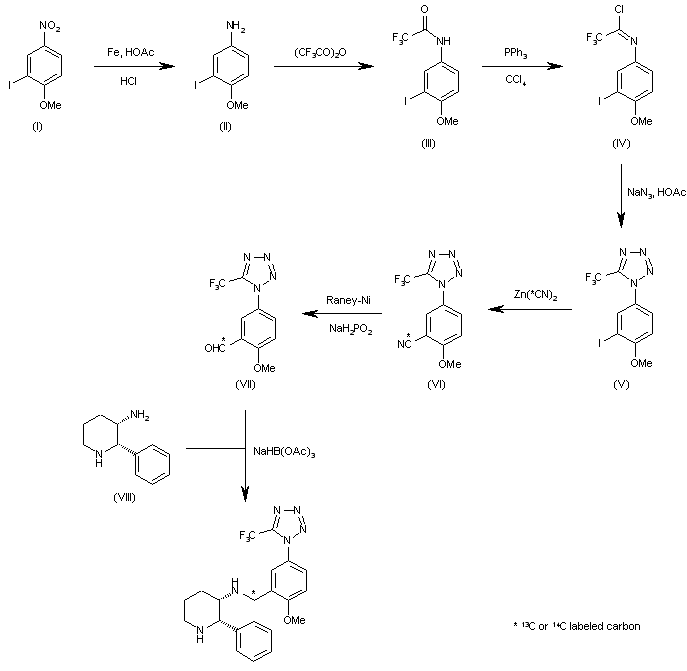
The reduction of 2-iodo-4-nitroanisole (I) with Fe and HOAc/HCl in methanol gives 4-amino-2-iodoanisole (II), which is acylated with trifluoroacetic anhydride and triethylamine to give the corresponding amide (III). The reaction of (III) with PPh3 and CCl4 affords the iminochloride (IV), which is cyclized with sodium azide in acetic acid, giving 1-(3-iodo-4-methoxyphenyl)-5-(trifluoromethyl)tetrazole (V). The reaction of (V) with 13C- or 14C-labeled zinc cyanide and palladium tetrakis triphenylphosphine in DMF yields the labeled benzonitrile (VI), which is treated with Raney-Ni and NaH2PO2 in pyridine/HOAc/water to afford the benzaldehyde (VII). Finally, this compound is reductocondensed with 2(S)-phenylpiperidin-3(S)-amine (VIII) by means of NaH(OAc)3 in dichloromethane.

参考文献No.660698
标题:An efficient and cost-effective synthesis of 2-phenyl-3-aminopyridine
作者:Caron, S.; et al.
来源:Org Process Res Dev 2001,5(3),254
合成路线图解说明:

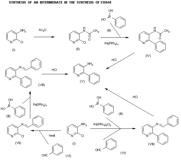
The 2-phenylpyridine-3-amine (V), an intermediate in the synthesis of 235944, has been obtained with better yields by three related ways: 1. The acylation of 2-chloropyridine-3-amine (I) with Ac2O and TEA in dichloromethane gives the corresponding acetamide (II), which is condensed with phenylboronic acid (III) by means of Pd(PPh3)4 and Na2CO3 in ethanol/toluene, yielding N-(2-phenylpyridin-3-yl)acetamide (IV). Finally, this compound is hydrolyzed with HCl in methanol to afford the target 2-phenylpyridine-3-amine (V) intermediate. 2. The condensation of 2-chloropyridine-3-amine (I) with benzaldehyde (VI) in refluxing toluene gives the corresponding imine (VII), which is condensed with phenylboronic acid (III) as before to yield the 2-phenylpyridine derivative (VIII). Finally, the imino group of (VIII) is hydrolyzed with aqueous HCl to afford the target intermediate (V). 3. The one-pot condensation of 2-chloropyridine-3-amine (I), boronic acid (III) and benzaldehyde (VI) by means of Pd(PPh3)2Cl2 and Na2CO3 in hot toluene gives the already reported 2-phenylpyridine derivative (VIII), which is hydrolyzed as before to afford the target intermediate (V).

Drug Information Express,Drug R&D,Chemical Database,Patent Search.
Copyright © 2006-2026 Drug Future. All rights reserved.Contact Us