【药物名称】DA-1131
化学结构式(Chemical Structure):
参考文献No.41447
标题:Carbapenem derivs. and processes for preparing the same
作者:Shin, H.C.; Kim, J.Y.; Kim, G.W.; Lee, C.W.; Lim, J.I.; Chang, M.S.; Kim, N.S.; Kim, D.S.; Im, W.B.; Rhee, J.K. (Dong-A Pharmaceutical Co., Ltd.)
来源:WO 9514692
合成路线图解说明:

The reaction of 4(R)-hydroxy-L-proline (I) with allyl chloroformate (II) and NaOH gives the protected proline (III), which is esterified with MeOH and sulfuric acid to yield the methyl prolinate (IV). The reaction of (IV) with Ms-Cl and TEA affords the mesylate (V), which is reduced with NaBH4 to provide the prolinol derivative (VI). The Swern oxidation of alcohol (VI) gives the carbaldehyde (VII), which is condensed with the phosphorane (VIII) by means of NaOMe, yielding the acrylate (IX). The reduction of (IX) with DIBAL affords the substituted allyl alcohol (X), which is condensed with phthalimide (XI) by means of PPh3 and DIAD to provide the adduct (XII). The cleavage of the phthalimido group of (XII) with hydrazine gives the amino derivative (XIII), which is treated with Ms-Cl and TEA to yield the sulfonamide (XIV). The reaction of (XIV) with potassium thioacetate affords the acetylsulfanyl pyrrolidine (XV), which is hydrolyzed with HCl to provide the thiol (XVI). The condensation of the thiol (XVI) with the carbapenem derivative (XVII) by means of DIEA gives the protected adduct (XVIII), which is finally treated with Pd(II) and Bu3SnH in order to eliminate the allyl protecting groups. The intermediate carbapenem derivative (XVII) has been obtained from azetidinone (XIX) by known methods as indicated in the scheme.

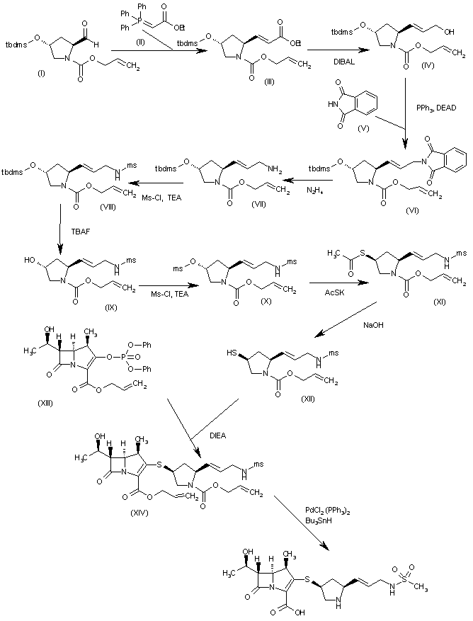
合成路线图解说明:

The condensation of the formyl pyrrolidine (I) with ethyl (triphenylphosphoranylidene)acetate (II) in dichloromethane gives acrylate (III), which is reduced with DIBAL in THF to yield the substituted allyl alcohol (IV). The condensation of (IV) with phthalimide (V) by means of PPh3 and DEAD in THF affords the adduct (VI), which is treated with hydrazine ethanol to provide the amino derivative (VII). The reaction of (VII) with Ms-Cl and TEA in dichloromethane gives the sulfonamide (VIII), which is desilylated by means of TBAF in THF, yielding the pyrrolidinol (IX). The reaction of (IX) with Ms-Cl and TEA in dichloromethane affords the sulfonate (X), which is treated with potassium thioacetate in refluxing acetonitrile to provide the acetylsulfanylpyrrolidine (XI). The hydrolysis of (XI) with NaOH in methanol gives the thiol (XII), which is condensed with the carbapenem derivative (XIII) by means of DIEA in acetonitrile to yield the protected adduct (XIV). Finally, this compound is treated with PdCl2(PPh3)2 and Bu3SnH in dichloromethane in order to eliminate the allyl protecting groups.

合成路线图解说明:

The chiral pyrrolidinethiol (XII), a key intermediate in the synthesis of 235904 (see scheme 23590401a intermediate (XVI) and scheme 23590402a intermediate (XII)), has been obtained as follows: The reaction of the N-protected hydroxyproline (I) with Ms-Cl and TEA in dichloromethane gives the mesylate (II), which is reduced with DIBAL in toluene to yield the carbaldehyde (III). The Horner-Emmons-Wadsworth condensation of (III) with triethyl phosphonoacetate (IV) by means of Na-OEt in THF affords the unsaturated ester (V), which is reduced with DIBAL in THF to provide the allyl alcohol derivative (VI) (1). The condensation of (VI) with phthalimide (VII) by means of PPh3 and DIAD furnishes the adduct (VIII). The cleavage of the phthalimido group of (VIII) with hydrazine gives the allylamino derivative (IX), which is treated with Ms-Cl and TEA to yield the methanesulfonamide (X). The reaction of (X) with potassium thioacetate yields the acetylsulfanyl pyrrolidine (XI), which is hydrolyzed with HCl to provide the target thiol intermediate (XII).

参考文献No.644057
标题:DA-1131
作者:Kwon, J.W.; Kim, W.B.; Kim, S.H.; Lee, M.G.
来源:Drugs Fut 2001,26(11),1040
合成路线图解说明:

The reaction of 4(R)-hydroxy-L-proline (I) with allyl chloroformate (II) and NaOH gives the protected proline (III), which is esterified with MeOH and sulfuric acid to yield the methyl prolinate (IV). The reaction of (IV) with Ms-Cl and TEA affords the mesylate (V), which is reduced with NaBH4 to provide the prolinol derivative (VI). The Swern oxidation of alcohol (VI) gives the carbaldehyde (VII), which is condensed with the phosphorane (VIII) by means of NaOMe, yielding the acrylate (IX). The reduction of (IX) with DIBAL affords the substituted allyl alcohol (X), which is condensed with phthalimide (XI) by means of PPh3 and DIAD to provide the adduct (XII). The cleavage of the phthalimido group of (XII) with hydrazine gives the amino derivative (XIII), which is treated with Ms-Cl and TEA to yield the sulfonamide (XIV). The reaction of (XIV) with potassium thioacetate affords the acetylsulfanyl pyrrolidine (XV), which is hydrolyzed with HCl to provide the thiol (XVI). The condensation of the thiol (XVI) with the carbapenem derivative (XVII) by means of DIEA gives the protected adduct (XVIII), which is finally treated with Pd(II) and Bu3SnH in order to eliminate the allyl protecting groups. The intermediate carbapenem derivative (XVII) has been obtained from azetidinone (XIX) by known methods as indicated in the scheme.

参考文献No.803906
标题:Synthetic study of met-SH (hydroxy proline derivative), side chain of DA-1131
作者:Im, W.B.; Lim, J.I.; Lee, C.W.; Choi, S.H.; Cho, J.H.; Rhee, J.K.
来源:Korean J Med Chem 1988,8(1),2-5
合成路线图解说明:

The chiral pyrrolidinethiol (XII), a key intermediate in the synthesis of 235904 (see scheme 23590401a intermediate (XVI) and scheme 23590402a intermediate (XII)), has been obtained as follows: The reaction of the N-protected hydroxyproline (I) with Ms-Cl and TEA in dichloromethane gives the mesylate (II), which is reduced with DIBAL in toluene to yield the carbaldehyde (III). The Horner-Emmons-Wadsworth condensation of (III) with triethyl phosphonoacetate (IV) by means of Na-OEt in THF affords the unsaturated ester (V), which is reduced with DIBAL in THF to provide the allyl alcohol derivative (VI) (1). The condensation of (VI) with phthalimide (VII) by means of PPh3 and DIAD furnishes the adduct (VIII). The cleavage of the phthalimido group of (VIII) with hydrazine gives the allylamino derivative (IX), which is treated with Ms-Cl and TEA to yield the methanesulfonamide (X). The reaction of (X) with potassium thioacetate yields the acetylsulfanyl pyrrolidine (XI), which is hydrolyzed with HCl to provide the target thiol intermediate (XII).

Drug Information Express,Drug R&D,Chemical Database,Patent Search.
Copyright © 2006-2026 Drug Future. All rights reserved.Contact Us