【药物名称】Nolomirole hydrochloride, CHF-1035
化学结构式(Chemical Structure):
参考文献No.31986
标题:1,2,3,4-Tetrahydronaphthaline derivs., process for their preparation and pharmaceutical compsns. containing them
作者:Chiesi, P.; Villani, V. (Chiesi Farmaceutici SpA)
来源:DE 3320936; GB 2123410
合成路线图解说明:

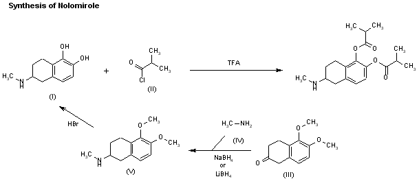
Nolomirole is synthesized by acylation of (rac)-6-(methylamino)-5,6,7,8-tetrahydronaphthalene-1,2-diol, CHF-1024 (I) with isobutyryl chloride (II) in THF. Reductocondensation of 5,6-dimethoxy-2-tetralone (III) with methylamine (IV) by means of LiBH4 or NaBH4 gives N-(5,6-dimethoxy-1,2,3,4-tetrahydronaphthalen-2-yl)-N-methylamine (V), which is treated with 48% HBr at 110 C.

合成路线图解说明:

Aminotetralin (VIII) was obtained by reductive amination of the 2-tetralone (XIV) in the presence of NaBH3CN.

参考文献No.41526
标题:A process for the preparation of 5,6-dihydroxy-2-amino-1,2,3,4-tetrahydronaphthalene derivs.
作者:Servadio, V.; Ventura, P.; Amari, G.; Chiesi, P.; Del Canale, M.; De Fanti, R. (Chiesi Farmaceutici SpA)
来源:WO 9529147
合成路线图解说明:

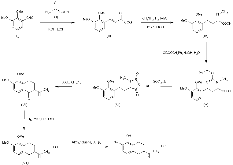
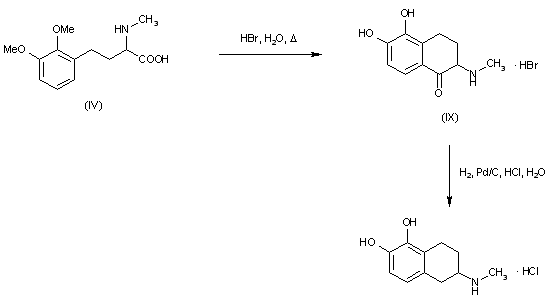
The condensation of 2,3-dimethoxybenzaldehyde (VI) with pyruvic acid (VII) by means of KOH in ethanol/water gives 4-(2,3-dimethoxyphenyl)-2-oxo-3-butenoic acid (VIII), which is reductocondensed with methylamine (IV) by means of H2 over Pd/C in ethanol/ acetic acid to yield 4-(2,3-dimethoxyphenyl)-2-methylamino)butyric acid (IX). Reaction of acid (IX) with benzyl chloroformate (X) and NaOH in water affords the carbamate (XI), which is treated with refluxing SOCl2 to provide 4-[2-(2,3-dimethoxyphenyl)ethyl]-3-methyloxazolidine-2,5-dione (XII). Reaction of oxazolidinone (XII) with AlCl3 in dichloromethane provides 5,6-dimethoxy-2-(methylamino)-1,2,3,4-tetrahydronaphthalen-1-one (XIII), which is reduced with H2 over Pd/C in ethanol containing some methanolic HCl in an autoclave at 80 C to yield N-(5,6-dimethoxy-1,2,3,4-tetrahydronaphthalen-2-yl)-N-methylamine (V). Finally, this compound is demethylated by treatment with AlCl3 in hot toluene. Alternatively, 5,6-dimethoxy-2-(methylamino)-1,2,3,4-tetrahydronaphthalen-1-one (XIII) can first be demethylated with 48% HBr to give 5,6-dihydroxy-2-(methylamino)-1,2,3,4-tetrahydronaphthalen-1-one (XIV), which is then reduced by means of H2 over Pd/C in an autoclave at 80 C.

合成路线图解说明:

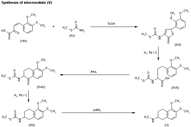
Condensation of 4-(2,3-dimethoxyphenyl)-2-oxo-3-butenoic acid (VIII) with methyl carbamate (XV) by means of TsOH in refluxing toluene gives the substituted furanone (XVI), which is hydrogenated with H2 over Pd/C in hot ethanol to yield 4-(2,3-dimethoxyphenyl)-2-(methoxycarbonylamino)butyric acid (XVII). Cyclization of acid (XVII) by means of PPA at 60 C affords tetralone (XVIII), which is reduced with H2 over Pd/C in an autoclave at 80 C to provide N-(5,6-dimethoxy-1,2,3,4-tetrahydronaphthalen-2-yl)carbamic acid methyl ester (XIX). Finally, the carbamoyl group of (XIX) is reduced with LiAlH4 in hot THF to yield N-(5,6-dimethoxy-1,2,3,4-tetrahydronaphthalen-2-yl)-N-methylamine (V).

合成路线图解说明:

Condensation of 2,3-dimethoxybenzaldehyde (I) with pyruvic acid (II) in the presence of KOH produced oxobutenoic acid (III), which was hydrogenated in the presence of methylamine to give amino acid (IV). Reaction of (IV) with benzyl chloroformate afforded carbamate (V), which was subsequently cyclized to the N-carboxyanhydride (VI) upon treatment with SOCl2. Friedel-Crafts intramolecular acylation using AlCl3 yielded amino tetralone (VII). Reduction of the keto group of (VII) to give amino tetralin (VIII) was effected by catalytic hydrogenation over Pd/C. Finally, dealkylation of the methyl ether groups of (VIII) with AlCl3 in hot toluene afforded the title dihydroxy compound.

合成路线图解说明:

Condensation of oxobutenoic acid (III) with methyl carbamate produced dihydrofuranone (X). Catalytic hydrogenation of this compound gave (ethoxycarbonylamino)butyric acid derivative (XI). Intramolecular cyclization of (XI) to the tetralone (XII) was carried out in hot polyphosphoric acid. After hydrogenolysis of the keto group of (XII), the resulting carbamate (XIII) was reduced with LiAlH4 to the methylamino derivative (VIII), which was finally demethylated.

合成路线图解说明:

Intramolecular acylation of amino acid (IV), with simultaneous deprotection of the hydroxyl groups using concentrated HBr furnished amino tetralone (IX). The keto group of (IX) was then reduced by hydrogenation in the presence of Pd/C.

参考文献No.642071
标题:Nolomirole Hydrochloride
作者:Casta馿r, J.; Mealy, N.E.; Bay鑣, M.; Leeson, P.A.
来源:Drugs Fut 2001,26(11),1046
合成路线图解说明:

Nolomirole is synthesized by acylation of (rac)-6-(methylamino)-5,6,7,8-tetrahydronaphthalene-1,2-diol, CHF-1024 (I) with isobutyryl chloride (II) in THF. Reductocondensation of 5,6-dimethoxy-2-tetralone (III) with methylamine (IV) by means of LiBH4 or NaBH4 gives N-(5,6-dimethoxy-1,2,3,4-tetrahydronaphthalen-2-yl)-N-methylamine (V), which is treated with 48% HBr at 110 C.

合成路线图解说明:

The condensation of 2,3-dimethoxybenzaldehyde (VI) with pyruvic acid (VII) by means of KOH in ethanol/water gives 4-(2,3-dimethoxyphenyl)-2-oxo-3-butenoic acid (VIII), which is reductocondensed with methylamine (IV) by means of H2 over Pd/C in ethanol/ acetic acid to yield 4-(2,3-dimethoxyphenyl)-2-methylamino)butyric acid (IX). Reaction of acid (IX) with benzyl chloroformate (X) and NaOH in water affords the carbamate (XI), which is treated with refluxing SOCl2 to provide 4-[2-(2,3-dimethoxyphenyl)ethyl]-3-methyloxazolidine-2,5-dione (XII). Reaction of oxazolidinone (XII) with AlCl3 in dichloromethane provides 5,6-dimethoxy-2-(methylamino)-1,2,3,4-tetrahydronaphthalen-1-one (XIII), which is reduced with H2 over Pd/C in ethanol containing some methanolic HCl in an autoclave at 80 C to yield N-(5,6-dimethoxy-1,2,3,4-tetrahydronaphthalen-2-yl)-N-methylamine (V). Finally, this compound is demethylated by treatment with AlCl3 in hot toluene. Alternatively, 5,6-dimethoxy-2-(methylamino)-1,2,3,4-tetrahydronaphthalen-1-one (XIII) can first be demethylated with 48% HBr to give 5,6-dihydroxy-2-(methylamino)-1,2,3,4-tetrahydronaphthalen-1-one (XIV), which is then reduced by means of H2 over Pd/C in an autoclave at 80 C.

合成路线图解说明:

Condensation of 4-(2,3-dimethoxyphenyl)-2-oxo-3-butenoic acid (VIII) with methyl carbamate (XV) by means of TsOH in refluxing toluene gives the substituted furanone (XVI), which is hydrogenated with H2 over Pd/C in hot ethanol to yield 4-(2,3-dimethoxyphenyl)-2-(methoxycarbonylamino)butyric acid (XVII). Cyclization of acid (XVII) by means of PPA at 60 C affords tetralone (XVIII), which is reduced with H2 over Pd/C in an autoclave at 80 C to provide N-(5,6-dimethoxy-1,2,3,4-tetrahydronaphthalen-2-yl)carbamic acid methyl ester (XIX). Finally, the carbamoyl group of (XIX) is reduced with LiAlH4 in hot THF to yield N-(5,6-dimethoxy-1,2,3,4-tetrahydronaphthalen-2-yl)-N-methylamine (V).

Drug Information Express,Drug R&D,Chemical Database,Patent Search.
Copyright © 2006-2026 Drug Future. All rights reserved.Contact Us