【药物名称】Trichodimerol, BMS-182123
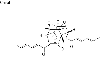
化学结构式(Chemical Structure):
参考文献No.573101
标题:Biomimetic total synthesis of bisorbicillinol, bisorbibutenolide, trichodimerol, and designed analogues of the bisorbicillinoids
作者:Nicolaou, K.C.; et al.
来源:J Am Chem Soc 2000,122(13),3071
合成路线图解说明:

Friedel-Crafts acylation of 2,4-dimethylresorcinol (I) with sorbic acid (II) in the presence of boron trifluoride etherate provided, after aqueous hydrolysis of the intermediate boron complex, ketone (III). Subsequent oxidative treatment with lead tetraacetate furnished the desired alpha-acetoxy dienone (IV) along with minor amounts of its regioisomer (V). After chromatographic separation, dimerization of dienone (IV) using CsOH produced a mixture of the title [4+4] adduct and the [4+2] adduct (VI). The compounds were separated by flash column chromatography.

Drug Information Express,Drug R&D,Chemical Database,Patent Search.
Copyright © 2006-2026 Drug Future. All rights reserved.Contact Us