【药物名称】ACEA-1416
化学结构式(Chemical Structure):
参考文献No.27099
标题:Alkyl, azido, alkoxy, and fluoro-substd. and fused quinoxalinediones and the use thereof as glycine receptor antagonists
作者:Cai, S.X.; Weber, E.; Keana, J.F.W.; Kher, S. (Acea Pharmaceuticals; Oregon Health Sciences University; University of California, Oakland)
来源:EP 0732942; JP 1997504794; WO 9512417
合成路线图解说明:

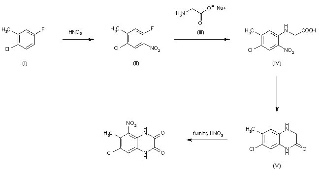
Nitration of 2-chloro-5-fluorotoluene (I) at position 4 afforded nitrocompound (II), which was treated with sodium glycinate (III) to displace the fluoro atom providing (IV). Reduction of the nitro group with concomitant cyclization led to quinoxalinone (V). Finally, reaction with fuming nitric acid produced simultaneous nitration and oxidation to quinoxalinedione.

参考文献No.394949
标题:Pharmacology of ACEA-1416: A potent systemically active NMDA receptor glycine site antagonist
作者:Ilyn, V.I.; Whittemore, E.R.; Tran, M.; Shen, K.-Z.; Cai, S.-X.; Kher, S.M.; Keana, J.F.W.; Weber, E.; Woodward, R.M.
来源:Eur J Pharmacol 1996,310107
合成路线图解说明:

Nitration of 2-chloro-5-fluorotoluene (I) at position 4 afforded nitrocompound (II), which was treated with sodium glycinate (III) to displace the fluoro atom providing (IV). Reduction of the nitro group with concomitant cyclization led to quinoxalinone (V). Finally, reaction with fuming nitric acid produced simultaneous nitration and oxidation to quinoxalinedione.

Drug Information Express,Drug R&D,Chemical Database,Patent Search.
Copyright © 2006-2026 Drug Future. All rights reserved.Contact Us