【药物名称】BMS-194449
化学结构式(Chemical Structure):
参考文献No.27188
标题:Catecholamine surrogates useful as B3 agonists
作者:Washburn, W.N.; Girotra, R.N.; Sher, P.M.; Mikkilineni, A.B.; Poss, K.M.; Mathur, A.; Gavai, A.; Bisacchi, G.S. (Bristol-Myers Squibb Co.)
来源:CA 2138675; EP 0659737; JP 1995206806; US 5776983
合成路线图解说明:

Nitration of 4-hydroxyacetophenone with KNO3 in cold H2SO4 gave the 3-nitro derivative (II), which was protected as the benzyl ether (III) with benzyl bromide in DMF. Hydrogenation of the nitro group of (III) over PtO2 afforded aniline (IV), and further treatment of (IV) with methanesulfonyl chloride in pyridine provided sulfonamide (V). Subsequent alpha-bromination of the acetophenone (V) was achieved using CuBr2 in a refluxing mixture of EtOAc and CHCl3. Asymmetric reduction of the ketone with borane in the presence of the chiral oxazaborolidine (VII), (prepared in situ from (R)-a,a-diphenyl-2-pyrrolidinemethanol (VIII) and trimethylboroxine (IX) in boiling toluene), provided the (R)-alcohol (X). The bromo group of (X) was then substituted for a iodo group upon treatment with NaI in acetone, and the resulting (IX) was protected as the triethylsilyl ether (XII) with Et3SiCl in the presence of imidazole and dimethylaminopyridine. Reaction of 4,4'-dihydroxybenzophenone (XIII) with chlorodifluoromethane and t-BuOK yielded the bis(difluoromethyl) ether (XIV). The benzhydryl amine (XV) was then obtained by reductive amination with ammonium formate at 160 C, followed by acid hydrolysis of the intermediate formamide. Condensation of iodide (XII) with benzhydryl amine (XV) in the presence of diisopropyl ethylamine in THF at 110 C in a sealed flask provided the secondary amine (XVI). Finally, the target compound was obtained by desilylation with tetrabutylammonium fluoride, followed by hydrogenolysis of the benzyl protecting group.

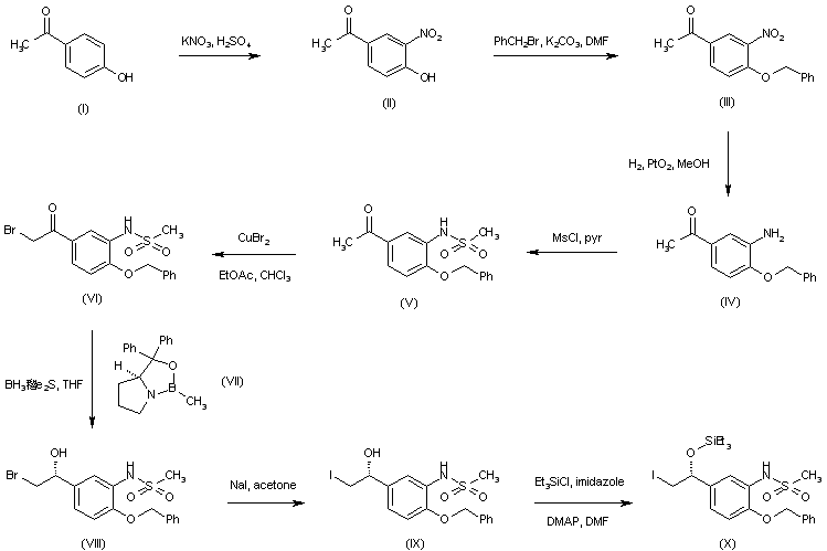
合成路线图解说明:

4-Hydroxyacetophenone (I) was nitrated with KNO3 in H2SO4 to give (II). Alkylation of the phenolic hydroxyl of (II) with benzyl bromide afforded benzyl ether (III). The nitro group of (III) was then reduced by catalytic hydrogenation to yield aniline (IV), which was converted to sulfonamide (V) upon treatment with mesyl chloride and pyridine. Bromination of (V) with CuBr2 produced the bromoacetophenone (VI), which by reduction with BH3-Me2S in the presence of the chiral auxiliary agent (VII) furnished the (R)-alcohol (VIII). After displacement of the bromo group of (VIII) with NaI, the resulting iodoalcohol (IX) was protected as the silyl ether (X) by treatment with triethyl chlorosilane and imidazole.

合成路线图解说明:

Reaction of methyl 4-hydroxybenzoate (XI) with difluorochloromethane and potassium tert-butoxide provided difluoromethyl ether (XII). After basic hydrolysis of the methyl ester of (XII), the resulting carboxylic acid (XIII) was converted to acid chloride (XIV) by means of refluxing SOCl2. Subsequent coupling of (XIV) with benzyl bromide in the presence of Zn and palladium catalyst produced the diaryl ethanone (XV). Reductive amination of (XV) with ammonium formate at 160 C gave formamide (XVI), which was hydrolyzed to racemic amine (XVII) with boiling HCl. Alkylation of this amine with the intermediate iodide (X) in THF at 110 C in a sealed flask yielded a diastereomeric mixture of secondary amines (XVIII), which were separated by column chromatography. The required (R,R)-isomer was desilylated employing tetrabutylammonium fluoride and AcOH to produce aminoalcohol (XIX). Finally, hydrogenolytic cleavage of the benzyl ether of (XIX) furnished the title compound.

Drug Information Express,Drug R&D,Chemical Database,Patent Search.
Copyright © 2006-2026 Drug Future. All rights reserved.Contact Us