【药物名称】Timcodar dimesilate, VX-853
化学结构式(Chemical Structure):
参考文献No.30026
标题:Novel amino acid derivs. with improved multi-drug resistance activity
作者:Zelle, R.E.; Harding, M.W. (Vertex Pharmaceuticals Inc.)
来源:EP 0797567; JP 1998509151; US 5543423; WO 9615101
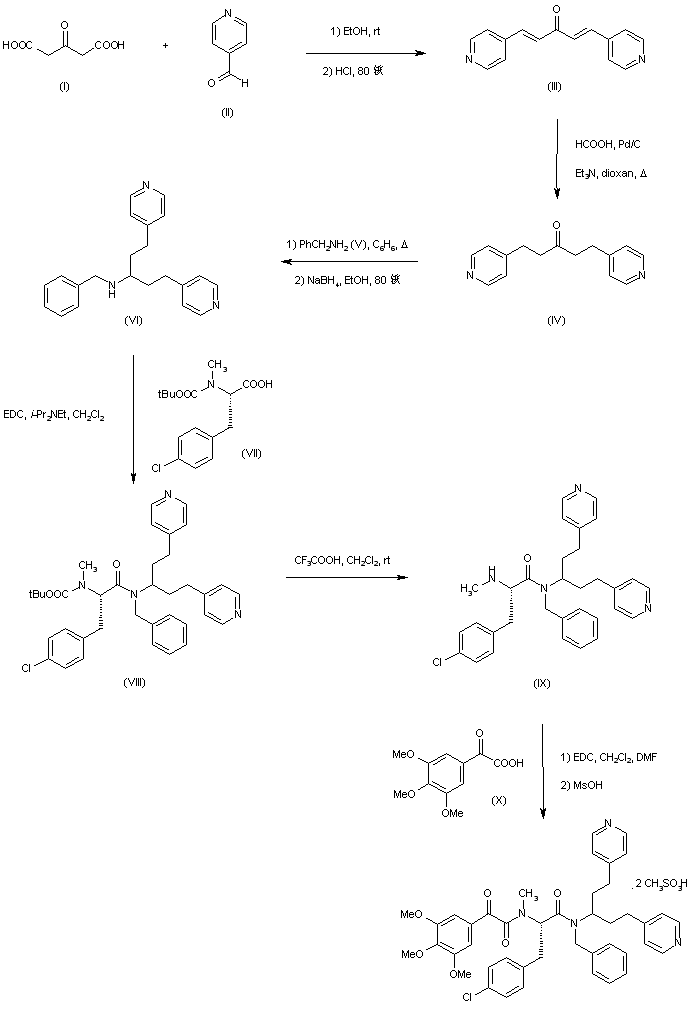
合成路线图解说明:

Condensation of 1,3-acetonedicarboxylic acid (I) with pyridine-4-carboxaldehyde (II) and subsequent acid decarboxylation produced 1,5-dipyridylpentadienone (III), which was reduced to the saturated ketone (IV) by transfer hydrogenation using formic acid and Pd/C. Condensation of (IV) with benzyl amine (V) in benzene with azeotropical removal of water, followed by reduction of the intermediate imine with NaBH4 gave rise to the secondary amine (VI). Coupling of (VI) with N-Boc-N-methyl-L-4-chlorophenylalanine (VII) in the presence of EDC afforded amide (VIII). After Boc deprotection of (VIII) with trifluoroacetic acid, the resulting amine (IX) was coupled with 3,4,5-trimethoxybenzoylformic acid (X) to furnish the title compound.

参考文献No.39035
标题:Methods and compsns. for stimulating neurite growth using cpds. with affinity for FKBP2 in combination with neurotrophic factors
作者:Zelle, R.E. (Vertex Pharmaceuticals Inc.)
来源:WO 9820891
合成路线图解说明:

Condensation of 1,3-acetonedicarboxylic acid (I) with pyridine-4-carboxaldehyde (II) and subsequent acid decarboxylation produced 1,5-dipyridylpentadienone (III), which was reduced to the saturated ketone (IV) by transfer hydrogenation using formic acid and Pd/C. Condensation of (IV) with benzyl amine (V) in benzene with azeotropical removal of water, followed by reduction of the intermediate imine with NaBH4 gave rise to the secondary amine (VI). Coupling of (VI) with N-Boc-N-methyl-L-4-chlorophenylalanine (VII) in the presence of EDC afforded amide (VIII). After Boc deprotection of (VIII) with trifluoroacetic acid, the resulting amine (IX) was coupled with 3,4,5-trimethoxybenzoylformic acid (X) to furnish the title compound.

Drug Information Express,Drug R&D,Chemical Database,Patent Search.
Copyright © 2006-2026 Drug Future. All rights reserved.Contact Us