【药物名称】Gadofosveset sodium, MS-32520, MS-325, AngioMARK
化学结构式(Chemical Structure):
参考文献No.39665
标题:Diagnostic imaging contrast agents with extended blood retention
作者:Scott, D.M.; Sajiki, H.; McMurray, T.J.; Lauffer, R.B. (Epix Medical, Inc.)
来源:WO 9623526
合成路线图解说明:

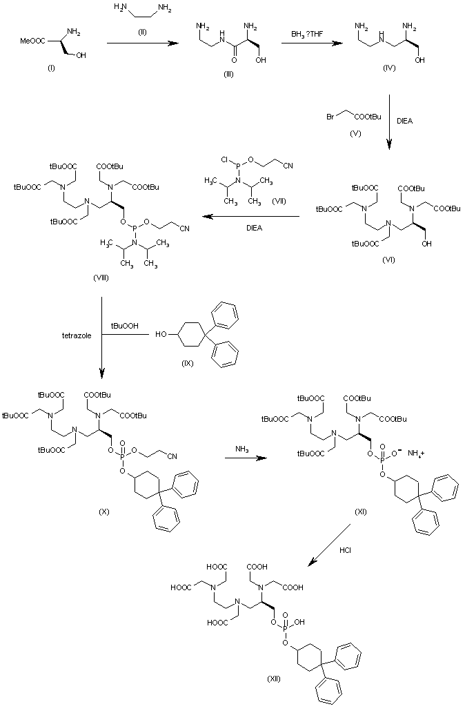
The amidation of L-serine methyl ester (I) with ethylenediamine (II) gives the amide (III), which is reduced with borane/THF to 2(R)-(hydroxymethyl)diethylenetriamine (IV). The reaction of (IV) with bromoacetic acid tert-butyl ester (V) by means of DIEA in DMF affords the penta tert-butyl acetate (VI), which is condensed with the chlorophosphoramidite (VII) by means of DIEA in dichloromethane giving the phosphoramidite intermediate (VIII). The condensation of (VIII) with 4,4-diphenylcyclohexanol (IX) (see scheme 23537901b) by means of tetrazole in acetonitile, with simultaneous oxidation with tert-butyl hydroperoxide yields the phosphate (X), which is selectively hydrolyzed at the 2-cyanoethyl ester group with ammonia in methanol affording the ammonium phosphate (XI). Finally, the hydrolysis of (XI) with HCl in ether/water eliminates the tert-butyl groups affording the desired chelating ligand (XII)

合成路线图解说明:

Finally, the target gadolinium complex has been obtained by reaction of the ligand (XIII) with Gd2O3 and N-methylglucamine in hot water.

参考文献No.39666
标题:Contrast-enhanced diagnostic imaging method for monitoring interventional therapies
作者:Dunham, S.O.; Lauffer, R.B. (Epix Medical, Inc.)
来源:WO 9917809
合成路线图解说明:

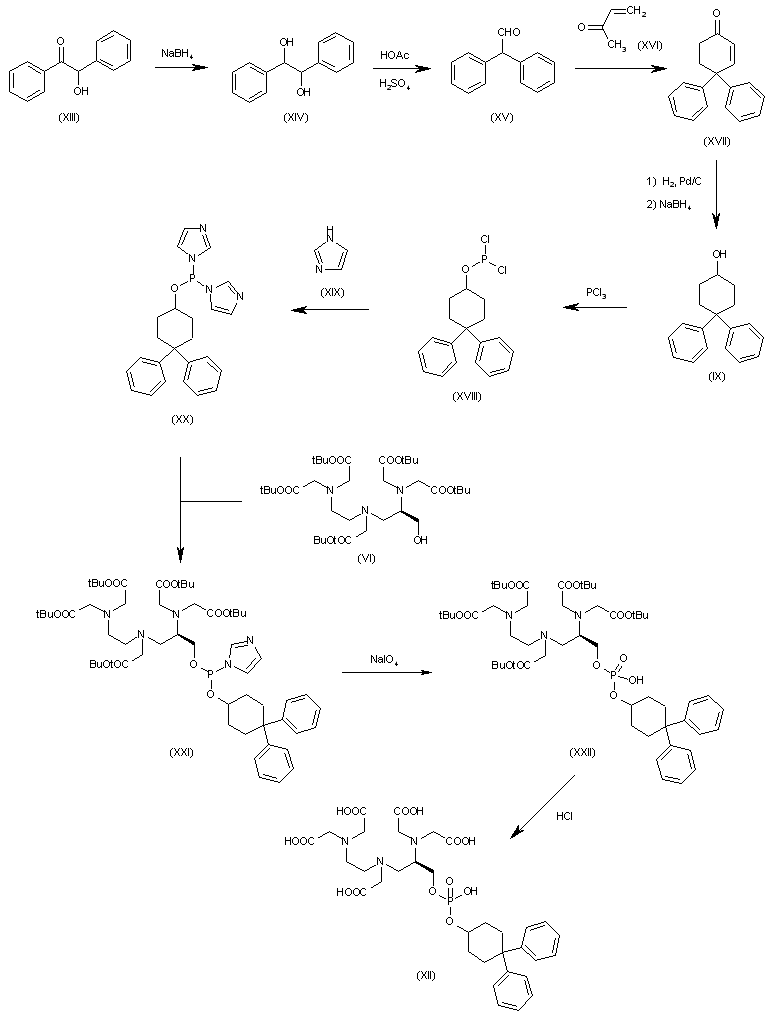
The reduction of benzoin (XIII) with NaBH4 in ethanol/water gives the diol (XIV), which by a pinacol rearrangement by means of H2SO4 in hot acetic acid yields the diphenylacetaldehyde (XXV). The cyclization of (XV) with methyl vinyl ketone (XVI) by means of KOH in ethanol affords the cyclohexenone (XVII), which is reduced first with H2 over Pd/C in THF and then with NaBH4 in ethanol/water giving the 4,4-diphenylcyclohexanol (IX). The reaction of (IX) with PCl3 in THF yields the dichlorophosphite (XVIII), which is treated with imidazole (XIX) in THF affording the bis imidophosphite (XX). The condensation of (XX) with the previously obtained penta tert-butyl acetate compound (VI) in THF/heptane gives the imidophosphite (XXI), which is oxidized with sodium periodate yielding the phosphoric acid diester (XXII). Finally, the hydrolysis of (XXII) with HCl in ether/water eliminates the tert-butyl groups affording the desired chelating ligand (XII).

参考文献No.540210
标题:A practical preparation of 4,4-diphenylcyclohexanol: A key intermediate in the synthesis of MS-325
作者:Amedio, J.C. Jr.; et al.
来源:Synth Commun 1998,28(20),3895
合成路线图解说明:

The reduction of benzoin (XIII) with NaBH4 in ethanol/water gives the diol (XIV), which by a pinacol rearrangement by means of H2SO4 in hot acetic acid yields the diphenylacetaldehyde (XXV). The cyclization of (XV) with methyl vinyl ketone (XVI) by means of KOH in ethanol affords the cyclohexenone (XVII), which is reduced first with H2 over Pd/C in THF and then with NaBH4 in ethanol/water giving the 4,4-diphenylcyclohexanol (IX). The reaction of (IX) with PCl3 in THF yields the dichlorophosphite (XVIII), which is treated with imidazole (XIX) in THF affording the bis imidophosphite (XX). The condensation of (XX) with the previously obtained penta tert-butyl acetate compound (VI) in THF/heptane gives the imidophosphite (XXI), which is oxidized with sodium periodate yielding the phosphoric acid diester (XXII). Finally, the hydrolysis of (XXII) with HCl in ether/water eliminates the tert-butyl groups affording the desired chelating ligand (XII).

Drug Information Express,Drug R&D,Chemical Database,Patent Search.
Copyright © 2006-2026 Drug Future. All rights reserved.Contact Us