【药物名称】Izonsteride, LY-320236
化学结构式(Chemical Structure):
参考文献No.29220
标题:5alpha-Reductase inhibitors
作者:Audia, J.E.; Haehl, K.L.; Kress, T.J.; McQuaid, L.A.; Neubauer, B.L.; Rocco, V.P.; Wepsiec, J.P. (Eli Lilly and Company)
来源:CA 2158609; EP 0703221; JP 1996225533; WO 9609046
合成路线图解说明:

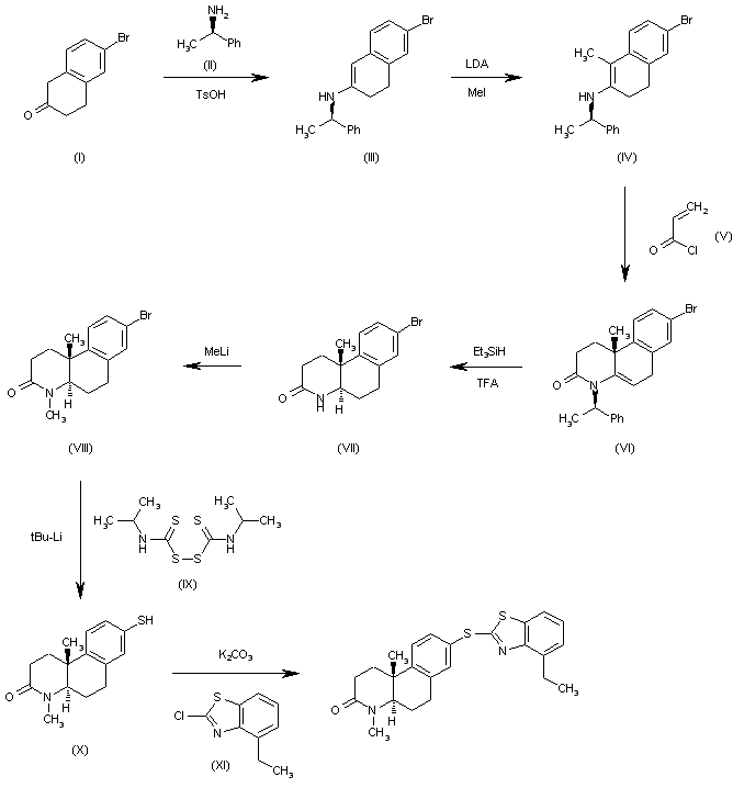
The reaction of 6-bromo-1,2,3,4-tetrahydronaphthalen-2-one (I) with 1(R)-phenylethylamine (II) by means of p-toluenesulfonic acid in refluxing toluene gives the enamine (III), which is methylated with lithium diisopropylamide and methyl iodide in THF yielding the 1-methyldihydronaphthalene (IV). The cyclization of (IV) with acryloyl chloride (V) in toluene affords the benzoquinoline derivative (VI), which is treated with triethylsilane and trifluoroacetic acid to eliminate the chiral auxiliar giving intermediate (VII). The methylation of (VII) with methyllithium in THF yields the N-methyl benzoquinoline (VIII), which is treated with N,N'-diisopropylthiuram disulfide (IX) and tert-butyllithium to afford the thiol derivative (X). Finally, this compound is condensed with 2-chloro-4-ethylbenzo thiazole (XI) by means of K2CO3 in hot DMF.

参考文献No.31156
标题:Use of benzoquinolin-3-ones for the treatment and prevention of prostatic cancer
作者:Audia, J.E.; Neubauer, B.L. (Eli Lilly and Company)
来源:CA 2172211; EP 0733365; JP 1996277220
合成路线图解说明:

The reaction of 6-bromo-1,2,3,4-tetrahydronaphthalen-2-one (I) with 1(R)-phenylethylamine (II) by means of p-toluenesulfonic acid in refluxing toluene gives the enamine (III), which is methylated with lithium diisopropylamide and methyl iodide in THF yielding the 1-methyldihydronaphthalene (IV). The cyclization of (IV) with acryloyl chloride (V) in toluene affords the benzoquinoline derivative (VI), which is treated with triethylsilane and trifluoroacetic acid to eliminate the chiral auxiliar giving intermediate (VII). The methylation of (VII) with methyllithium in THF yields the N-methyl benzoquinoline (VIII), which is treated with N,N'-diisopropylthiuram disulfide (IX) and tert-butyllithium to afford the thiol derivative (X). Finally, this compound is condensed with 2-chloro-4-ethylbenzo thiazole (XI) by means of K2CO3 in hot DMF.

参考文献No.31609
标题:Benzoquinolin-3-ones to inhibit bone loss
作者:Audia, J.E.; Neubauer, B.L. (Eli Lilly and Company)
来源:EP 0742010; JP 1999511739; US 5550134; WO 9635422
合成路线图解说明:

The reaction of 6-bromo-1,2,3,4-tetrahydronaphthalen-2-one (I) with 1(R)-phenylethylamine (II) by means of p-toluenesulfonic acid in refluxing toluene gives the enamine (III), which is methylated with lithium diisopropylamide and methyl iodide in THF yielding the 1-methyldihydronaphthalene (IV). The cyclization of (IV) with acryloyl chloride (V) in toluene affords the benzoquinoline derivative (VI), which is treated with triethylsilane and trifluoroacetic acid to eliminate the chiral auxiliar giving intermediate (VII). The methylation of (VII) with methyllithium in THF yields the N-methyl benzoquinoline (VIII), which is treated with N,N'-diisopropylthiuram disulfide (IX) and tert-butyllithium to afford the thiol derivative (X). Finally, this compound is condensed with 2-chloro-4-ethylbenzo thiazole (XI) by means of K2CO3 in hot DMF.

参考文献No.37760
标题:Synthesis of benzo[f]quinolinones
作者:Udodong, U.E.; Brennan, J.; Doecke, C.W.; Heath, P.C.; Patterson, L.E.; Weigel, L.O. (Eli Lilly and Company)
来源:WO 9818757
合成路线图解说明:

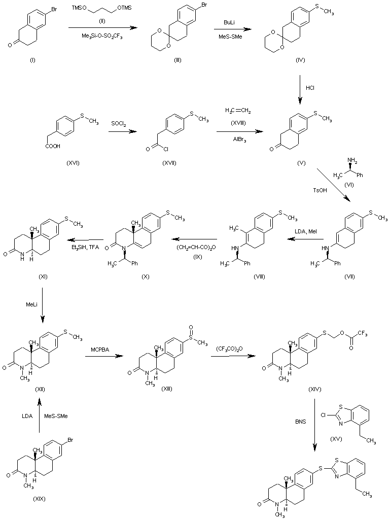
The reaction of 6-bromo-1,2,3,4-tetrahydronaphthalen-2-one (I) with 1,3-bis(trimethylsilyloxy)propane (II) by means of trimethylsilyl trifluoromethanesulfonate in THF gives the propylene ketal (III), which is treated with dimethyldisulfide and BuLi in THF yielding the methylsulfanyl derivative (IV). The hydrolysis of (IV) by means of HCl in THF affords 6-(methylsulfanyl)-1,2,3,4-tetrahydronaphthalen-2-one (V), which is condensed with 1(R)-phenyl ethylamine (VI) by means of p-toluenesulfonic acid in refluxing toluene giving the enamine (VII). The methylation of (VII) with lithium diisopropylamide and methyl iodide in THF yields the 1-methyldihydronaphthalene (VIII), which is cyclized with acryloyl anhydride (IX) in toluene affording the benzoquinoline derivative (X). The treatment of (X) with triethylsilane and trifluoroacetic acid to eliminate the chiral auxiliar gives intermediate (XI), which is methylated with methyllithium in THF yielding the N-methylbenzoquinoline (XII). The oxidation of (XII) with m-chloroperbenzoic acid (MCPBA) in dichloromethane affords the corresponding methylsulfinyl derivative (XIII), which by reaction with trifluoroacetic anhydride provides the trifluoroacetoxymethylsulfanyl derivative (XIV). Finally, this compound is condensed with 2-chloro-4-ethylbenzothiazole (XV) by means of tetrabutylammonium bisulfate (BNS) and NaBH4 in toluene/water.

参考文献No.487774
标题:Selective thiomethylation of benzo[f]quinolinone dianions facilitates production of a type I/II 5-alpha-reductase inhibitor (LY320236)
作者:Brennan, J.; et al.
来源:216th ACS Natl Meet (Aug. 23-27, Boston) 1998,Abst ORGN 151
合成路线图解说明:

The reaction of 6-bromo-1,2,3,4-tetrahydronaphthalen-2-one (I) with 1(R)-phenylethylamine (II) by means of p-toluenesulfonic acid in refluxing toluene gives the enamine (III), which is methylated with lithium diisopropylamide and methyl iodide in THF yielding the 1-methyldihydronaphthalene (IV). The cyclization of (IV) with acryloyl chloride (V) in toluene affords the benzoquinoline derivative (VI), which is treated with triethylsilane and trifluoroacetic acid to eliminate the chiral auxiliar giving intermediate (VII). The methylation of (VII) with methyllithium in THF yields the N-methyl benzoquinoline (VIII), which is treated with N,N'-diisopropylthiuram disulfide (IX) and tert-butyllithium to afford the thiol derivative (X). Finally, this compound is condensed with 2-chloro-4-ethylbenzo thiazole (XI) by means of K2CO3 in hot DMF.

Drug Information Express,Drug R&D,Chemical Database,Patent Search.
Copyright © 2006-2026 Drug Future. All rights reserved.Contact Us