【药物名称】
化学结构式(Chemical Structure):
参考文献No.29196
标题:Tricyclic cpds., their production and use
作者:Takatani, M.; Shibouta, Y.; Tomimatsu, K.; Kawamoto, T. (Takeda Chemical Industries, Ltd.)
来源:EP 0771319; JP 1996081467; WO 9602542
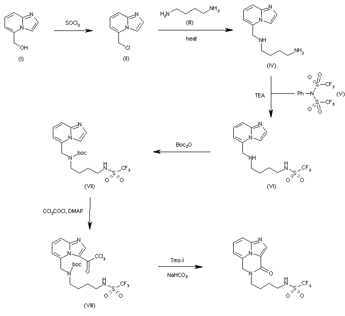
合成路线图解说明:

The chlorination of 5-(hydroxymethyl)imidazo[1,2-a]pyridine (I) with SOCl2 in dichloromethane gives the corresponding chloromethyl derivative (II), which is condensed with 1,4-diaminobutane (III) in refluxing acetonitrile to yield 5-(4-aminobutylaminomethyl)imidazo[1,2-a]pyridine (IV). The sulfonation of (IV) with N-phenyltrifluoromethylsulfonimide (V) and TEA in acetonitrile affords the sulfonamide (VI), which is protected with Boc2O in ethanol to provide the carbamate (VII). The acylation of (VII) with trichloroacetyl chloride and DMAP in refluxing chloroform gives the 3-trichloroacetyl derivative (VIII), which is finally cyclized by means of Tms-I and NaHCO3 in chloroform.

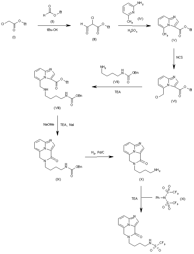
合成路线图解说明:

The reaction of ethyl chloroacetate (I) with ethyl formate (II) by means of potassium tert-butoxide in diisopropyl ether gives the 2-formylchloroacetate (III), which is cyclized with 6-methylpyridine-2-amine (IV) by means of conc. H2SO4, yielding 5-methylimidazo[1,2-a]pyridine-3-carboxylic acid ethyl ester (V). The chlorination of (V) with NCS in THF affords the chloromethyl derivative (VI), which is condensed with the monoprotected diamine (VII) by means of TEA to provide the adduct (VIII). The cyclization of (VIII) by means of NaOMe, TEA and NaI in DMF gives 4-[4-(benzyloxycarbonylamino)butyl]-4,5-dihydro-3H-1,4,8b-triazaacenaphthylen-3-one (IX), which is deprotected with H2 over Pd/C in MeOH, yielding the butylamine derivative (X). Finally, this compound is sulfonated with N-phenyltrifluoromethylsulfonimide (XI) and TEA in DMF.

参考文献No.595366
标题:A practical synthesis of the chronic renal disease agent, 4,5-dihydro-3H-1,4,8b-triazaacenaphthylen-3-one derivatives, using regioselective chlorination of ethyl 5-methylimidazo[1,2-a]pyridine-3-carboxy with N-chlorosuccinimide
作者:Ikemoto, T.; et al.
来源:Tetrahedron 2000,56(40),7915
合成路线图解说明:

The chlorination of 5-(hydroxymethyl)imidazo[1,2-a]pyridine (I) with SOCl2 in dichloromethane gives the corresponding chloromethyl derivative (II), which is condensed with 1,4-diaminobutane (III) in refluxing acetonitrile to yield 5-(4-aminobutylaminomethyl)imidazo[1,2-a]pyridine (IV). The sulfonation of (IV) with N-phenyltrifluoromethylsulfonimide (V) and TEA in acetonitrile affords the sulfonamide (VI), which is protected with Boc2O in ethanol to provide the carbamate (VII). The acylation of (VII) with trichloroacetyl chloride and DMAP in refluxing chloroform gives the 3-trichloroacetyl derivative (VIII), which is finally cyclized by means of Tms-I and NaHCO3 in chloroform.

合成路线图解说明:

The reaction of ethyl chloroacetate (I) with ethyl formate (II) by means of potassium tert-butoxide in diisopropyl ether gives the 2-formylchloroacetate (III), which is cyclized with 6-methylpyridine-2-amine (IV) by means of conc. H2SO4, yielding 5-methylimidazo[1,2-a]pyridine-3-carboxylic acid ethyl ester (V). The chlorination of (V) with NCS in THF affords the chloromethyl derivative (VI), which is condensed with the monoprotected diamine (VII) by means of TEA to provide the adduct (VIII). The cyclization of (VIII) by means of NaOMe, TEA and NaI in DMF gives 4-[4-(benzyloxycarbonylamino)butyl]-4,5-dihydro-3H-1,4,8b-triazaacenaphthylen-3-one (IX), which is deprotected with H2 over Pd/C in MeOH, yielding the butylamine derivative (X). Finally, this compound is sulfonated with N-phenyltrifluoromethylsulfonimide (XI) and TEA in DMF.

Drug Information Express,Drug R&D,Chemical Database,Patent Search.
Copyright © 2006-2026 Drug Future. All rights reserved.Contact Us