【药物名称】
化学结构式(Chemical Structure):
参考文献No.530501
标题:Synthesis of thiophenecarboxamides, thieno[3,4-c]p
作者:Shinkwin, A.E.; Whish, W.J.; Threadgill, M.D.
来源:Bioorg Med Chem 1999,7(2),297
合成路线图解说明:

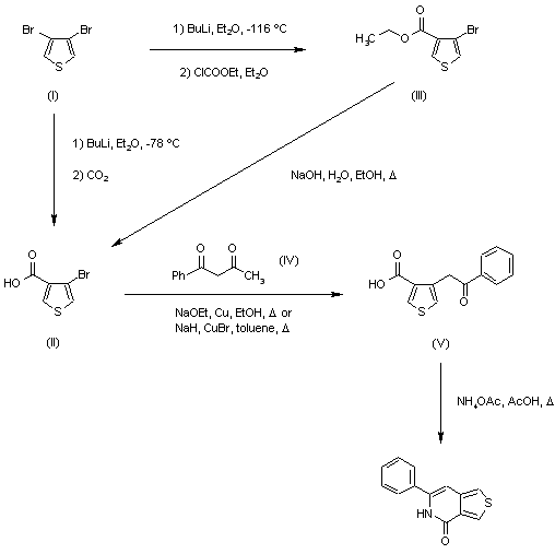
The intermediate 4-bromothiophene-3-carboxylic acid (II) was prepared in low yield by lithium-halogen exchange of 3,4-dibromothiophene (I) with n-BuLi in Et2O at -78 C, followed by quenching with solid CO2. Alternatively, lithiation of (I) at -116 C and further quenching with ethyl chloroformate provided ethyl ester (III) in moderate yields, accompanied by some byproducts that were separated by column chromatography. The required carboxylic acid (II) was then formed by saponification of (III) with NaOH. Subsequent condensation of bromoacid (II) with benzoylacetone (IV) either in the presence of sodium ethoxide and copper powder or NaH and CuBr proceeded with concomitant retro-Claisen cleavage to provide monoketone (V). The target thienopyridinone was then obtained by cyclization of (V) with ammonium acetate in refluxing AcOH.

合成路线图解说明:

The intermediate 4-bromothiophene-3-carboxylic acid (II) was prepared in low yield by lithium-halogen exchange of 3,4-dibromothiophene (I) with n-BuLi in Et2O at -78 C, followed by quenching with solid CO2. Alternatively, lithiation of (I) at -116 C and further quenching with ethyl chloroformate provided ethyl ester (III) in moderate yields, accompanied by some byproducts that were separated by column chromatography. The required carboxylic acid (II) was then formed by saponification of (III) with NaOH. Subsequent condensation of bromoacid (II) with acetylacetone (IV) in the presence of potassium tert-butoxide and copper powder in refluxing tert-butanol provided the thienylpentanedione (V). Deacetylation with aqueous ammonia then gave the monoketone (VI). The target thienopyridinone was finally obtained by cyclization of (VI) with ammonium acetate in refluxing AcOH.

Drug Information Express,Drug R&D,Chemical Database,Patent Search.
Copyright © 2006-2026 Drug Future. All rights reserved.Contact Us