【药物名称】Conivaptan hydrochloride, CI-1025, YM-087
化学结构式(Chemical Structure):
参考文献No.26067
标题:Fused benzazepine deriv. and pharmaceutical compsn. containing the same
作者:Tanaka, A.; Koshio, H.; Taniguchi, N.; Matsuhisa, A.; Sakamoto, K.; Yamazaki, A.; Yatsu, T. (Yamanouchi Pharmaceutical Co., Ltd.)
来源:EP 0709386; JP 1995505056; US 5723606; WO 9503305
合成路线图解说明:

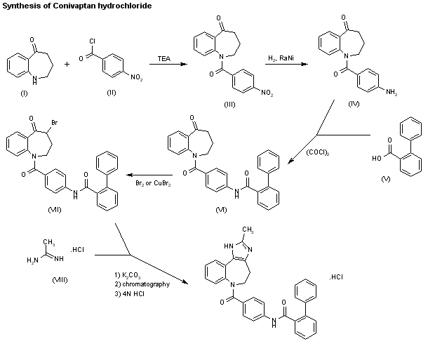
Acylation of 2,3,4,5-tetrahydro-1H-1-benzazepin-5-one (I) with 4-nitrobenzoyl chloride (II) by means of TEA in CH2Cl2 gives 1-(4-nitrobenzoyl)-2,3,4,5-tetrahydro-1H-1-benzazepin-5-one (III), which is hydrogenated with H2 over Raney-Ni in MeOH, yielding the corresponding amine derivative (IV). Acylation of (IV) with biphenyl-2-carboxylic acid (V) by means of oxalyl chloride in CH2Cl2 affords the expected amide (VI) which is brominated with either Br2 or CuBr2, providing the alpha-bromo ketone (VII). This ketone (VII) is cyclized with acetamidine hydrochloride (VIII) by means of K2CO3 in MeCN, furnishing a mixture of conivaptan and oxazolo[4,5-d][1]benzodiazepine compound. Finally, conivaptan is separated by column chromatography over silica gel and is treated with 4N HCl to provide the desired hydrochloride.

参考文献No.45317
标题:Novel preparation method of condensed benzazepine derivs.
作者:Yamazaki, A.; Tanaka, A.; Tsunoda, T. (Yamanouchi Pharmaceutical Co., Ltd.)
来源:JP 1996198879
合成路线图解说明:

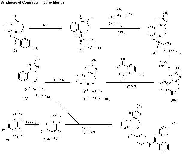
The bromination of 1-(p-toluenesulfonyl)-2,3,4,5-tetrahydro-1H-1-benzazepin-5-one (IX) with Br2 in CHCl3 gives the alpha-bromo ketone (X), which is cyclized with acetamidine hydrochloride (VIII) by means of K2CO3, yielding the expected imidazo-benzazepine (XI). This compound is detosylated with hot H2SO4 to provide 2-methyl-1,4,5,6-tetrahydroimidazo[4,5-d][1]benzazepine (XII). Acylation of (XII) with 4-nitroben-zoic acid (XIII) by means of pyridine in either hot MeCN or DMF affords the 6-(4-nitro-benzoyl) derivative (XIV), which is reduced with H2 and Raney-Ni in MeOH to the corres-ponding 6-(4-aminobenzoyl) compound (XV). Finally, this compound is condensed with biphenyl-2-carbonyl chloride (XVI) [ obtained by treatment of biphenyl-2-carboxylic acid (V) with oxalyl chloride in CH2Cl2/DMF] by means of pyridine in acetonitrile and treated with 4N HCl.

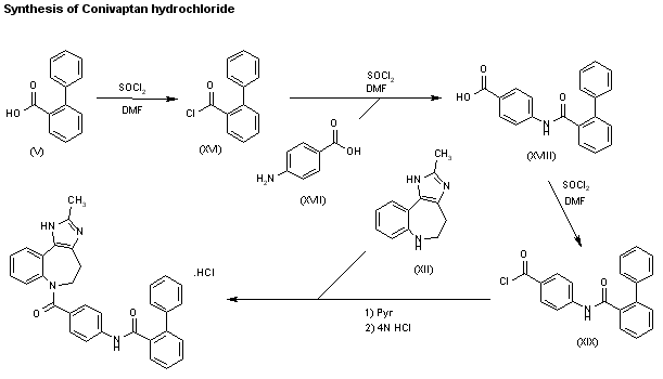
合成路线图解说明:

Alternatively, treatment of biphenyl-2-carboxylic acid (V) with SOCl2 and DMF in CH2Cl2 provides the acyl chloride (XVI), which is condensed with 4-aminobenzoic acid (XVII) by means of N,N-dimethylaniline in acetone to give the corresponding 4-(2-phenylbenzamido)benzoic acid (XVIII). Treatment of (XVIII) with SOCl2 and DMF in dry THF affords the acyl chloride (XIX), which is finally condensed with the inmidazobenzazepine (XII) by means of pyridine in MeCN and treated with 4N HCl.

参考文献No.563956
标题:Nonpeptide arginine vasopressin antagonists for both V1A and V2 receptors: Synthesis and pharmacological properties of 4'-(1,4,5,6-tetrahydroimidazo[4,5-d][1]benzoazepine-6-carbonyl)benzanilide derivatives and 4'-(5,6-dihydro-4H-thiazolo[5,4-d][1]benzoaze
作者:Matsuhisa, A.; Taniguchi, N.; Koshio, H.; Yatsu, T.; Tanaka, A.
来源:Chem Pharm Bull 2000,48(1),21
合成路线图解说明:

Acylation of 2,3,4,5-tetrahydro-1H-1-benzazepin-5-one (I) with 4-nitrobenzoyl chloride (II) by means of TEA in CH2Cl2 gives 1-(4-nitrobenzoyl)-2,3,4,5-tetrahydro-1H-1-benzazepin-5-one (III), which is hydrogenated with H2 over Raney-Ni in MeOH, yielding the corresponding amine derivative (IV). Acylation of (IV) with biphenyl-2-carboxylic acid (V) by means of oxalyl chloride in CH2Cl2 affords the expected amide (VI) which is brominated with either Br2 or CuBr2, providing the alpha-bromo ketone (VII). This ketone (VII) is cyclized with acetamidine hydrochloride (VIII) by means of K2CO3 in MeCN, furnishing a mixture of conivaptan and oxazolo[4,5-d][1]benzodiazepine compound. Finally, conivaptan is separated by column chromatography over silica gel and is treated with 4N HCl to provide the desired hydrochloride.

参考文献No.600142
标题:Conivaptan Hydrochloride
作者:Casta馿r, R.M.; Norman, P.; Rabasseda, X.; Leeson, P.A.; Casta馿r, J.
来源:Drugs Fut 2000,25(11),1121
合成路线图解说明:

Acylation of 2,3,4,5-tetrahydro-1H-1-benzazepin-5-one (I) with 4-nitrobenzoyl chloride (II) by means of TEA in CH2Cl2 gives 1-(4-nitrobenzoyl)-2,3,4,5-tetrahydro-1H-1-benzazepin-5-one (III), which is hydrogenated with H2 over Raney-Ni in MeOH, yielding the corresponding amine derivative (IV). Acylation of (IV) with biphenyl-2-carboxylic acid (V) by means of oxalyl chloride in CH2Cl2 affords the expected amide (VI) which is brominated with either Br2 or CuBr2, providing the alpha-bromo ketone (VII). This ketone (VII) is cyclized with acetamidine hydrochloride (VIII) by means of K2CO3 in MeCN, furnishing a mixture of conivaptan and oxazolo[4,5-d][1]benzodiazepine compound. Finally, conivaptan is separated by column chromatography over silica gel and is treated with 4N HCl to provide the desired hydrochloride.

合成路线图解说明:

The bromination of 1-(p-toluenesulfonyl)-2,3,4,5-tetrahydro-1H-1-benzazepin-5-one (IX) with Br2 in CHCl3 gives the alpha-bromo ketone (X), which is cyclized with acetamidine hydrochloride (VIII) by means of K2CO3, yielding the expected imidazo-benzazepine (XI). This compound is detosylated with hot H2SO4 to provide 2-methyl-1,4,5,6-tetrahydroimidazo[4,5-d][1]benzazepine (XII). Acylation of (XII) with 4-nitroben-zoic acid (XIII) by means of pyridine in either hot MeCN or DMF affords the 6-(4-nitro-benzoyl) derivative (XIV), which is reduced with H2 and Raney-Ni in MeOH to the corres-ponding 6-(4-aminobenzoyl) compound (XV). Finally, this compound is condensed with biphenyl-2-carbonyl chloride (XVI) [ obtained by treatment of biphenyl-2-carboxylic acid (V) with oxalyl chloride in CH2Cl2/DMF] by means of pyridine in acetonitrile and treated with 4N HCl.

合成路线图解说明:

Alternatively, treatment of biphenyl-2-carboxylic acid (V) with SOCl2 and DMF in CH2Cl2 provides the acyl chloride (XVI), which is condensed with 4-aminobenzoic acid (XVII) by means of N,N-dimethylaniline in acetone to give the corresponding 4-(2-phenylbenzamido)benzoic acid (XVIII). Treatment of (XVIII) with SOCl2 and DMF in dry THF affords the acyl chloride (XIX), which is finally condensed with the inmidazobenzazepine (XII) by means of pyridine in MeCN and treated with 4N HCl.

Drug Information Express,Drug R&D,Chemical Database,Patent Search.
Copyright © 2006-2026 Drug Future. All rights reserved.Contact Us