【药物名称】
化学结构式(Chemical Structure):
参考文献No.701480
标题:
作者:Weygand, F.; et al.
来源:DE 1040561
合成路线图解说明:

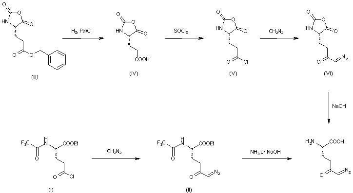
Compound can be prepared in two different ways: 1) The reaction of N-trifluoroacetyl-L-glutamic acid 1-ethyl ester-5-acid chloride (I) with diazomethane in ether gives 6-diazo-5-oxonorleucine ethyl ester (II), which can be hydrolyzed by treatment with ammonia or NaOH in ethanol water. 2) The hydrogenation of gamma-benzyl ester of N-carboxy-L-glutamate anhydride (III) with H2 over Pd/C in ethyl acetate gives N-carboxy-L-glutamate anhydride (IV), which by reaction with refluxing SOCl2 yields L-4-[2-(chlorocarbonyl)ethyl]oxazolidine-2,5-dione (V). The reaction of (V) with diazomethane in ether affords L-4-(4-diazo-3-oxobutyl)oxazolidine-2,5-dione (VI), which is finally hydrolyzed with NaOH in water at room temperature.

参考文献No.701481
标题:
作者:Moore, A.M.; de Wald, H.A.
来源:US 2878245
合成路线图解说明:

Compound can be prepared in two different ways: 1) The reaction of N-trifluoroacetyl-L-glutamic acid 1-ethyl ester-5-acid chloride (I) with diazomethane in ether gives 6-diazo-5-oxonorleucine ethyl ester (II), which can be hydrolyzed by treatment with ammonia or NaOH in ethanol water. 2) The hydrogenation of gamma-benzyl ester of N-carboxy-L-glutamate anhydride (III) with H2 over Pd/C in ethyl acetate gives N-carboxy-L-glutamate anhydride (IV), which by reaction with refluxing SOCl2 yields L-4-[2-(chlorocarbonyl)ethyl]oxazolidine-2,5-dione (V). The reaction of (V) with diazomethane in ether affords L-4-(4-diazo-3-oxobutyl)oxazolidine-2,5-dione (VI), which is finally hydrolyzed with NaOH in water at room temperature.

参考文献No.800533
标题:N-Trifluoroacetylamine acids. XI. Synthesis of 6-diazo-5-oxo-L-norleucine and 7-diazo-6-oxo-L-2-aminoheptylic acid
作者:Weygand, F.; et al.
来源:Chem Ber 1958,911037-40
合成路线图解说明:

Compound can be prepared in two different ways: 1) The reaction of N-trifluoroacetyl-L-glutamic acid 1-ethyl ester-5-acid chloride (I) with diazomethane in ether gives 6-diazo-5-oxonorleucine ethyl ester (II), which can be hydrolyzed by treatment with ammonia or NaOH in ethanol water. 2) The hydrogenation of gamma-benzyl ester of N-carboxy-L-glutamate anhydride (III) with H2 over Pd/C in ethyl acetate gives N-carboxy-L-glutamate anhydride (IV), which by reaction with refluxing SOCl2 yields L-4-[2-(chlorocarbonyl)ethyl]oxazolidine-2,5-dione (V). The reaction of (V) with diazomethane in ether affords L-4-(4-diazo-3-oxobutyl)oxazolidine-2,5-dione (VI), which is finally hydrolyzed with NaOH in water at room temperature.

参考文献No.800534
标题:DON
作者:Cabanillas, F.; Serradell, M.N.; Blancafort, P.; Casta馿r, J.
来源:Drugs Fut 1979,4(8),572
合成路线图解说明:

Compound can be prepared in two different ways: 1) The reaction of N-trifluoroacetyl-L-glutamic acid 1-ethyl ester-5-acid chloride (I) with diazomethane in ether gives 6-diazo-5-oxonorleucine ethyl ester (II), which can be hydrolyzed by treatment with ammonia or NaOH in ethanol water. 2) The hydrogenation of gamma-benzyl ester of N-carboxy-L-glutamate anhydride (III) with H2 over Pd/C in ethyl acetate gives N-carboxy-L-glutamate anhydride (IV), which by reaction with refluxing SOCl2 yields L-4-[2-(chlorocarbonyl)ethyl]oxazolidine-2,5-dione (V). The reaction of (V) with diazomethane in ether affords L-4-(4-diazo-3-oxobutyl)oxazolidine-2,5-dione (VI), which is finally hydrolyzed with NaOH in water at room temperature.

Drug Information Express,Drug R&D,Chemical Database,Patent Search.
Copyright © 2006-2026 Drug Future. All rights reserved.Contact Us