【药物名称】YM-49244
化学结构式(Chemical Structure):
参考文献No.470821
标题:Synthesis and NK1 receptor antagonistic activity of (?-1-acyl-3-(3,4-dichlorophenyl)-3-[2-(spiro-substituted piperidin-1'-yl)ethyl]piperidines
作者:Kubota, H.; Okamoto, Y.; Fujii, M.; Ikeda, K.; Takeuchi, M.; Shibanuma, T.; Isomura, Y.
来源:Bioorg Med Chem Lett 1998,8(12),1541
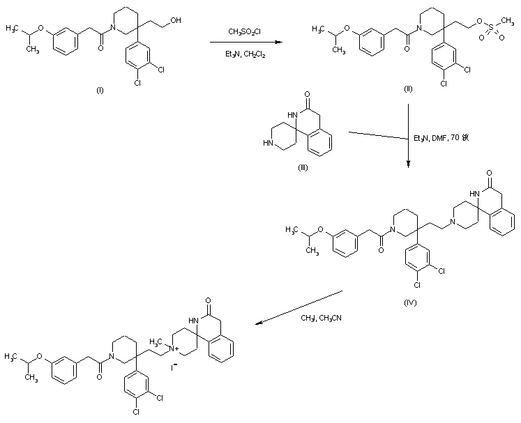
合成路线图解说明:

The known piperidinoethanol derivative (I) was converted to the mesylate (II) upon treatment with methanesulfonyl chloride and triethylamine. Displacement of the mesylate group of (II) with the spiro-substituted piperidine (III) provided adduct (IV). Finally, quaternization of piperidine (IV) with iodomethane gave the corresponding ammonium salt as a mixture of cis/trans isomers that were separated by column chromatography.

Drug Information Express,Drug R&D,Chemical Database,Patent Search.
Copyright © 2006-2026 Drug Future. All rights reserved.Contact Us