【药物名称】TS-951
化学结构式(Chemical Structure):
参考文献No.28384
标题:Quinolinecarboxylic acid deriv.
作者:Ohuchi, Y.; Suzuki, M.; Asanuma, H.; Yokomori, S.; Hatayama, K. (Taisho Pharmaceutical Co., Ltd.)
来源:EP 0710662; JP 1996034784; US 5753673; WO 9531455
合成路线图解说明:

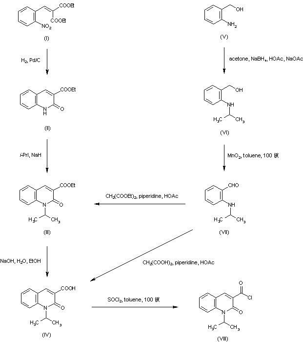
Reductive ring closure of diethyl 2-nitrobenzylidenemalonate (I) afforded quinolone (II). Subsequent N-alkylation of (II) with isopropyl iodide gave (III). Carboxylic acid (IV) was then obtained by basic hydrolysis of the ethyl ester (III). In a related procedure, reductive alkylation of 2-aminobenzyl alcohol (V) with acetone in the presence of NaBH4 gave the N-isopropyl derivative (VI). Oxidation of (VI) using activated MnO2 in toluene yielded aldehyde (VII). Further Knoevenagel condensation of (VII) with diethyl malonate in the presence of piperidine and AcOH produced the previously described quinolone ester (III). Alternatively, condensation of (VII) with malonic acid directly produced the previously described quinolonecarboxylic acid (IV). Acid chloride (VIII) was then prepared by treatment of (IV) with thionyl chloride in hot toluene.

合成路线图解说明:

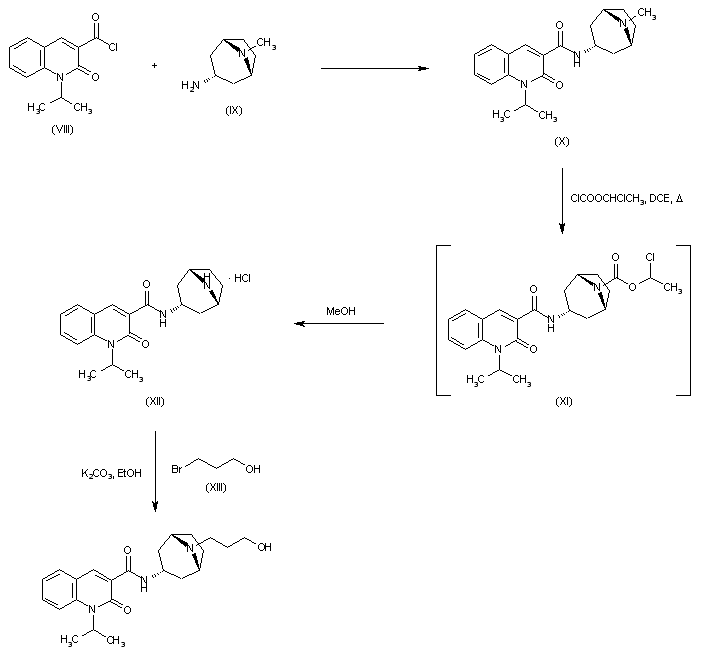
Condensation of acid chloride (VIII) 3-aminotropane (IX) provided amide (X). N-Demethylation of (X) was then achieved by treatment with 1-chloroethyl chloroformate, followed by hydrolysis and decarboxylation of the intermediate carbamate (XI) with MeOH. The resulting secondary amine (XII) was then alkylated with 3-bromopropanol (XIII) to afford the target hydroxypropyl derivative.

合成路线图解说明:

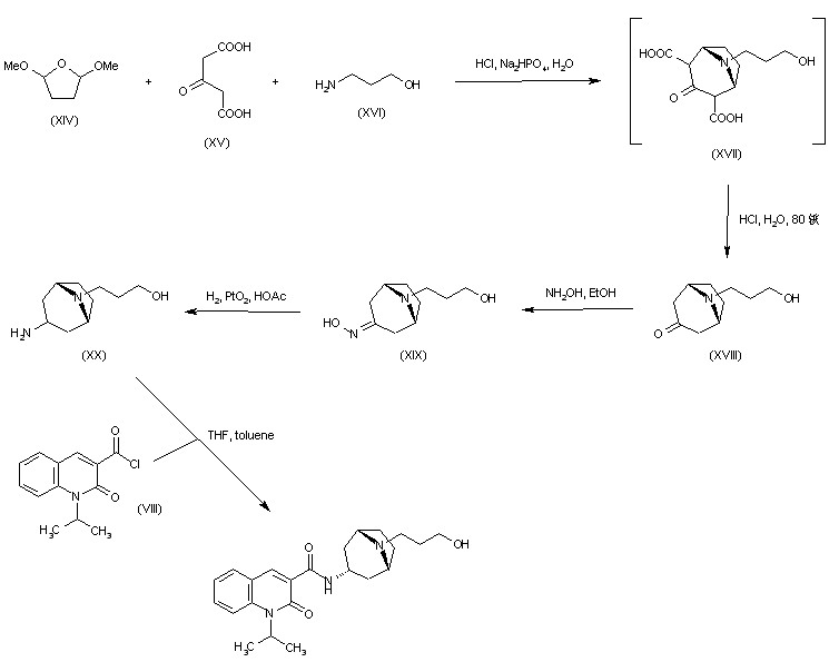
Condensation between 2,5-dimethoxytetrahydrofuran (XIV), acetone-1,3-dicarboxylic acid (XV) and 3-amino-1-propanol (XVI), followed by acid decarboxylation of the intermediate adduct (XVII) furnished the tropinone analogue (XVIII). After conversion of (XVIII) to the corresponding oxime (XIX), its hydrogenation over PtO2 gave amine (XX). This was finally coupled with acid chloride (VIII) to give the title amide.

参考文献No.606172
标题:Synthesis and evaluation of novel 2-oxo-1,2-dihydro-3-quinolinecarboxamide derivatives as potent and selective serotonin 5-HT4 receptor agonists
作者:Suzuki, M.; Ohuchi, Y.; Asanuma, H.; Kaneko, T.; Yokomori, S.; Ito, C.; Isobe, Y.; Muramatsu, M.
来源:Chem Pharm Bull 2001,49(1),29
合成路线图解说明:

Reductive ring closure of diethyl 2-nitrobenzylidenemalonate (I) afforded quinolone (II). Subsequent N-alkylation of (II) with isopropyl iodide gave (III). Carboxylic acid (IV) was then obtained by basic hydrolysis of the ethyl ester (III). In a related procedure, reductive alkylation of 2-aminobenzyl alcohol (V) with acetone in the presence of NaBH4 gave the N-isopropyl derivative (VI). Oxidation of (VI) using activated MnO2 in toluene yielded aldehyde (VII). Further Knoevenagel condensation of (VII) with diethyl malonate in the presence of piperidine and AcOH produced the previously described quinolone ester (III). Alternatively, condensation of (VII) with malonic acid directly produced the previously described quinolonecarboxylic acid (IV). Acid chloride (VIII) was then prepared by treatment of (IV) with thionyl chloride in hot toluene.

合成路线图解说明:

Condensation of acid chloride (VIII) 3-aminotropane (IX) provided amide (X). N-Demethylation of (X) was then achieved by treatment with 1-chloroethyl chloroformate, followed by hydrolysis and decarboxylation of the intermediate carbamate (XI) with MeOH. The resulting secondary amine (XII) was then alkylated with 3-bromopropanol (XIII) to afford the target hydroxypropyl derivative.

合成路线图解说明:

Condensation between 2,5-dimethoxytetrahydrofuran (XIV), acetone-1,3-dicarboxylic acid (XV) and 3-amino-1-propanol (XVI), followed by acid decarboxylation of the intermediate adduct (XVII) furnished the tropinone analogue (XVIII). After conversion of (XVIII) to the corresponding oxime (XIX), its hydrogenation over PtO2 gave amine (XX). This was finally coupled with acid chloride (VIII) to give the title amide.

Drug Information Express,Drug R&D,Chemical Database,Patent Search.
Copyright © 2006-2026 Drug Future. All rights reserved.Contact Us