【药物名称】
化学结构式(Chemical Structure):
参考文献No.547906
标题:Rhodopeptins, novel cyclic tetrapeptides with antifungal activities from Rhodococcus sp. III. Synthetic study of rhodopeptins
作者:Chiba, H.; Agematu, H.; Sakai, K.; Dobashi, K.; Yoshioka, T.
来源:J Antibiot 1999,52(8),710
合成路线图解说明:

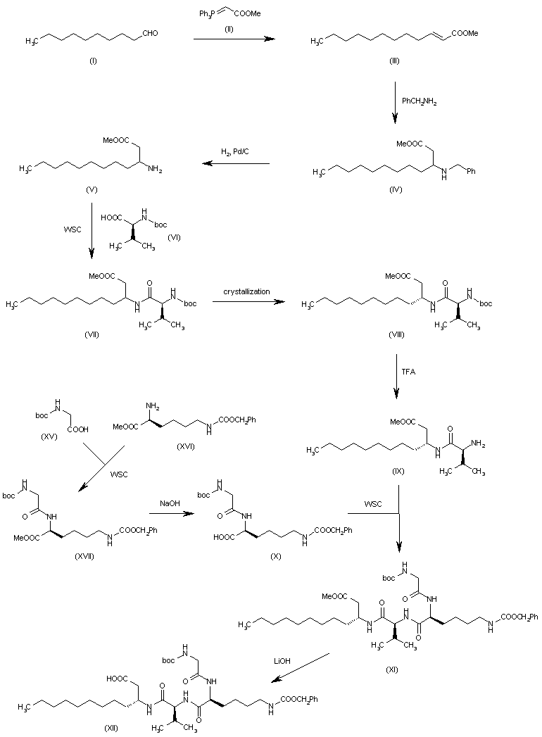
The Wittig condensation of decanal (I) with phosphorane (II) in benzene gives trans-2-dodecenoic acid methyl ester (III), which by thermal Michael addition of benzylamine yields the protected beta-aminoester (IV). The debenzylation of (IV) with H2 over Pd/C in methanol affords the free aminoester (V), which is condensed with N-(tert-butoxycarbonyl)-L-valine (VI) by means of 1-[3-(dimethylamino)propyl]-1-ethyl carbodiimide (WSC) in dichloromethane to give the dipeptide (VII) as a diastereomeric mixture, from which the desired isomer (VIII) is isolated by crystallization. The deprotection of the amino group of (VIII) with TFA in dichloromethane affords the peptide (IX), which is coupled with the conveniently protected glycyl-L-lysine dipeptide (X) by means of WSC as before to give the tetrapeptide (XI). The hydrolysis of the methyl ester group of (XI) with LiOH in THF/methanol/water yields the acidic tetrapeptide (XII). The intermediate glycyl-L-lysine dipeptide (X) has been obtained by coupling N-(tert-butoxycarbonyl)glycine (XV) with Nomega-(benzyloxycarbonyl)-L-lysine methyl ester (XVI) by means of WSC as before to give dipeptide (XVI), which is submitted to alkaline hydrolysis to provide the intermediate dipeptide (X).

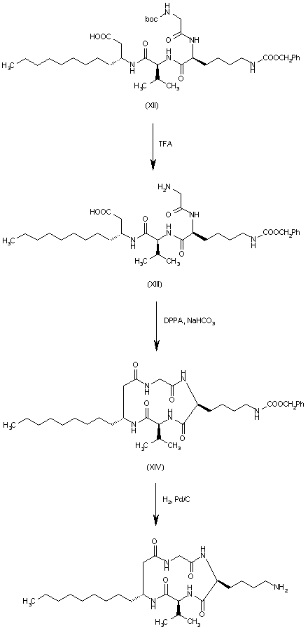
合成路线图解说明:

Elimination of the tert-butoxycarbonyl group of (XII) by treatment with TFA in dichloromethane gives the tetrapeptide (XIII), which is cyclized by means of diphenylphosphorylazide (DPPA) and NaHCO3 in DMF yielding the protected target compound (XIV). Finally, this compound is hydrogenated with H2 over Pd/C in THF to eliminate the benzyloxycarbonyl protecting group.

Drug Information Express,Drug R&D,Chemical Database,Patent Search.
Copyright © 2006-2026 Drug Future. All rights reserved.Contact Us