【药物名称】NU-3076
化学结构式(Chemical Structure):
参考文献No.43298
标题:Pyrimidopyrimidine cpds.
作者:Calvert, A.H.; Griffin, R.J.; Curtin, N.J.; Golding, B.T.; Newell, D.R. (University of Newcastle upon Tyne)
来源:WO 9843974
合成路线图解说明:

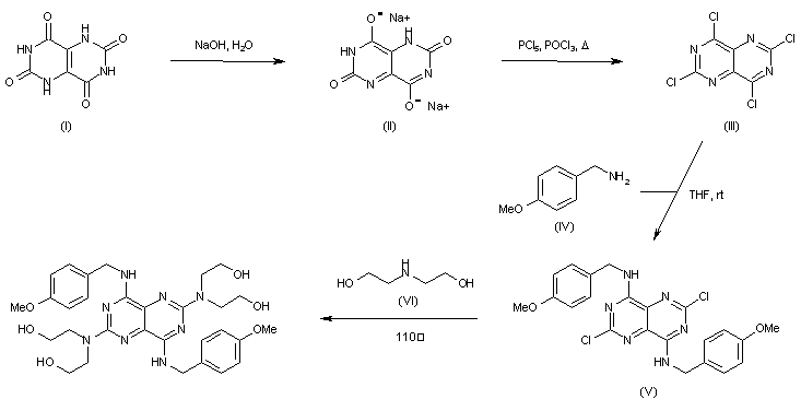
Pyrimidopyrimidine tetraone (I) was converted to the disodium salt (II), which was then treated with PCl5 in refluxing POCl3 to provide the tetrachloro pyrimidopyrimidine (III). Displacement of the more reactive 4- and 8-chlorine atoms of (III) by 4-methoxybenzylamine (IV) in THF at room temperature gave the 4,8-di(4-methoxybenzylamino) derivative (V). Finally, the remainig chlorine atoms of (V) were displaced by diethanolamine (VI) at 110 C, yielding the title compound.

参考文献No.576831
标题:Resistance-modifying agents. Part 7: 2,6-Disubstituted-4,8-dibenzylaminopyrimido[5,4-d]pyrimidines that inhibit nucleoside transport in the presence of alpha1-acid glycoprotein (AGP)
作者:Barlow, H.C.; Bowman, K.J.; Curtin, N.J.; Calvert, A.H.; Golding, B.T.; Huang, B.; Loughlin, P.J.; Newell, D.R.; Smith, P.G.; Griffin, RJ.
来源:Bioorg Med Chem Lett 2000,10(6),585
合成路线图解说明:

Pyrimidopyrimidine tetraone (I) was converted to the disodium salt (II), which was then treated with PCl5 in refluxing POCl3 to provide the tetrachloro pyrimidopyrimidine (III). Displacement of the more reactive 4- and 8-chlorine atoms of (III) by 4-methoxybenzylamine (IV) in THF at room temperature gave the 4,8-di(4-methoxybenzylamino) derivative (V). Finally, the remainig chlorine atoms of (V) were displaced by diethanolamine (VI) at 110 C, yielding the title compound.

合成路线图解说明:

Condensation of 3,4-dimethoxybenzylamine (I) with 3,4-dimethoxybenzaldehyde (II) afforded imine (III), that was subsequently reduced to amine (IV) by means of NaBH4. Reaction of (V) with 2,4,6,8-tetrachloropyridopyrimidine (V) in THF at room temperature produced the 4,8-diamino derivative (VI). The remaining 2- and 6-chloro groups of (VI) were then displaced by aminoalcohol (VII) in boiling THF to furnish adduct (VIII). Finally, selective cleavage of two dimethoxybenzyl groups using trifluoroacetic acid gave rise to the title compound.

Drug Information Express,Drug R&D,Chemical Database,Patent Search.
Copyright © 2006-2026 Drug Future. All rights reserved.Contact Us