【药物名称】OPC-14523
化学结构式(Chemical Structure):
参考文献No.563824
标题:3,4-Dihydro-2(1H)-quinolinone as a novel antidepressant drug: Synthesis and pharmacology of 1-[3-[4-(3-chlorophenyl)-1-piperazinyl]propyl]-3,4-dihydro-5-methoxy-2(1H)-quinolinone and its derivatives
作者:Oshiro, Y.; Sakurai, Y.; Sato, S.; Kurahashi, N.; Tanaka, T.; Kikuchi, T.; Tottori, K.; Uwahodo, Y.; Miwa, T.; Nishi, T.
来源:J Med Chem 2000,43(2),177
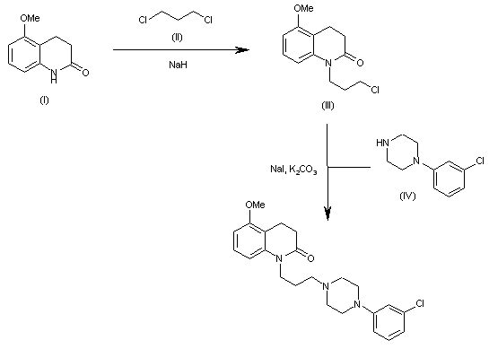
合成路线图解说明:

The condensation of 5-methoxy-1,2,3,4-tetrahydroquinolin-2-one (I) with 1,3-dichloropropane (II) by means of NaH in DMF gives 1-(3-chloropropyl)-5-methoxy-1,2,3,4-tetrahydroquinolin-2-one (II), which is finally condensed with 1-(3-chlorophenyl)piperazine (IV) by means of NaI and K2CO3 in acetonitrile.

Drug Information Express,Drug R&D,Chemical Database,Patent Search.
Copyright © 2006-2026 Drug Future. All rights reserved.Contact Us