【药物名称】Z-203, T-0632
化学结构式(Chemical Structure):
参考文献No.37290
标题:2-Oxoindoline deriv.
作者:Yamada, K.; Hikota, M.; Shikano, T.; Nagasaki, M. (Tanabe Seiyaku Co., Ltd.)
来源:EP 0731091; US 5807883; WO 9514668
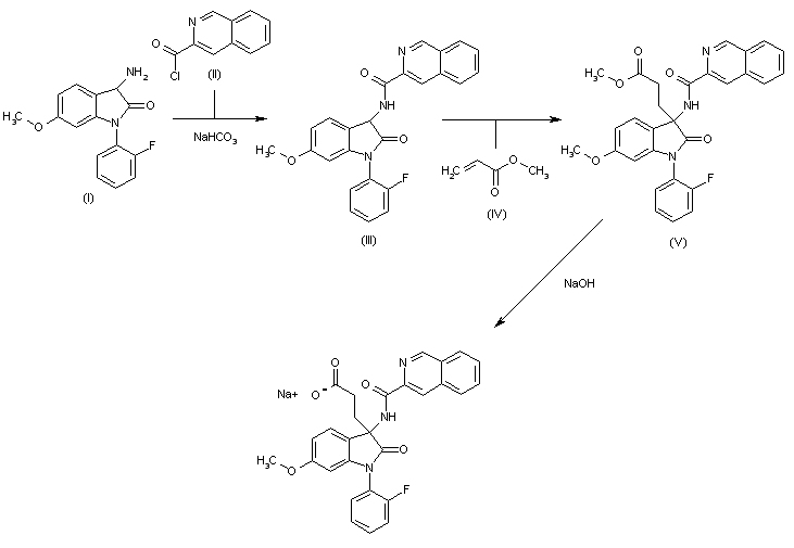
合成路线图解说明:

The condensation of 3-amino-1-(2-fluorophenyl)-6-methoxyindolin-2-one (I) with isoquinolin-3-ylcarbonyl chloride (II) by means of NaHCO3 in chloroform/dichloromethane/water gives the corresponding amide (III), which is condensed with methyl acrylate (IV) by means of K2CO3 in acetone to yield the propionic ester derivative (V). Finally, the ester group of (V) is hydrolyzed with NaOH in ethanol to afford the target propionic acid derivative as a racemic compound.

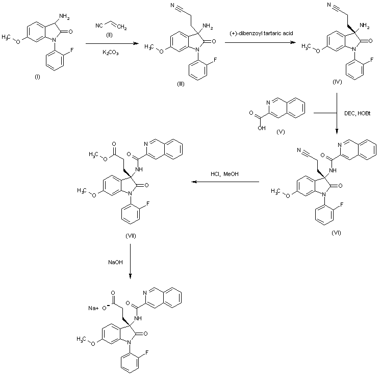
合成路线图解说明:

The condensation of 3-amino-1-(2-fluorophenyl)-6-methoxyindolin-2-one (I) with acrylonitrile (II) by means of K2CO3 in DMSO gives the propionitrile derivative (III), which was submitted to optical resolution with (+)-dibenzoyl tartaric acid to yield enantiomer (IV). The condensation of (IV) with isoquinoline-3-carboxylic acid (V) by means of DEC and HOBt in DMF affords the carboxamide (VI), which is treated with HCl in methanol to provide the propionic ester (VII). Finally, this compound is hydrolyzed with NaOH in methanol/water to furnish the target sodium propionate derivative as a pure enantiomer.

Drug Information Express,Drug R&D,Chemical Database,Patent Search.
Copyright © 2006-2026 Drug Future. All rights reserved.Contact Us