【药物名称】CI-1012, PD-161374
化学结构式(Chemical Structure):
参考文献No.567269
标题:Development and pilot-scale demonstration of a process for inhibitors of the HIV nucleocapsid protein, NCp7
作者:Fiore, P.J.; et al.
来源:Org Process Res Dev 1998,2(3),151
合成路线图解说明:

The protection of aniline (I) with di-tert-butyl dicarbonate in THF gives the carbamate (II), which is treated with BuLi and 14C labeled CO2 in THF yielding 2-(tert-butoxycarbonylamino)benzoic acid (III). The deprotection of (III) with TFA in dichloromethane affords labeled 2-aminobenzoic acid (IV), which is diazotized with NaNO2 /HCl and treated with Na2S, S and NaOH to give the disulfide (V). The reaction of (V) with refluxing SOCl2 yields the acid dichloride (VI), which is condensed with L-isoleucine tert-butyl ester (VII), by means of N-methylmorpholine (NMM) in dichloromethane to afford the final intermediate (VIII). Finally, this compound is deprotected with TFA in dichloromethane to give the labeled target compound.

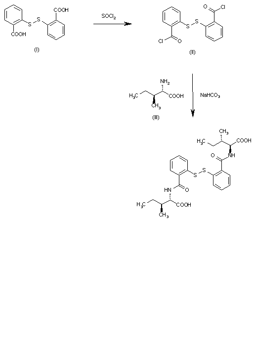
合成路线图解说明:

The reaction of disulfide (I) with SOCl2 gives the corresponding acyl chloride (II), which is then condensed with L-isoleucine (III) by means of NaHCO3 in THF.

合成路线图解说明:

The protection of aniline (I) with di-tert-butyl dicarbonate in THF gives the carbamate (II), which is treated with BuLi and 14C labeled CO2 in THF yielding 2-(tert-butoxycarbonylamino)benzoic acid (III). The deprotection of (III) with TFA in dichloromethane affords labeled 2-aminobenzoic acid (IV), which is diazotized with NaNO2 /HCl and treated with Na2S, S and NaOH to give the disulfide (V). The reaction of (V) with refluxing SOCl2 yields the acid dichloride (VI), which is condensed with L-isoleucine tert-butyl ester (VII), by means of N-methylmorpholine (NMM) in dichloromethane to afford the intermediate (VIII). The deprotectionof (VIII) with TFA in dichloromethane to give the labeled dimeric isoleucine derivative (IX), which is finally cyclized to the target benazoisothiazolone by oxidative cyclization with Br2 in dichloromethane.

合成路线图解说明:

The reaction of disulfide (I) with SOCl2 gives the corresponding acyl chloride (II), which is condensed with L-isoleucine (III) by means of NaHCO3 in THF yielding the disulfide intermediate (IV). Finally, this compound is submitted to an oxidative cyclization with Br2 in acetic acid.

Drug Information Express,Drug R&D,Chemical Database,Patent Search.
Copyright © 2006-2026 Drug Future. All rights reserved.Contact Us