【药物名称】SNAP-5399
化学结构式(Chemical Structure):
参考文献No.553514
标题:Design and synthesis of novel dihydropyridine alpha-1A antagonists
作者:Hong, X.; Marzbadi, M.R.; Nagarathnam, D.; Miao, S.W.; Chiu, G.; Wong, W.C.; Wetzel, J.M.; Fang, J.; Forray, C.; Chen, T.B.; O'Malley, S.S.; Chang, R.S.; Gluchowski, C.
来源:Bioorg Med Chem Lett 1999,9(19),2843
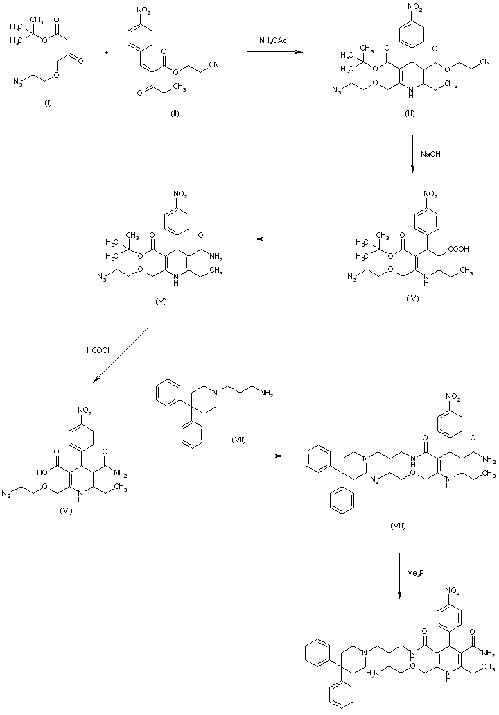
合成路线图解说明:

Hantzsch condensation of the (azidoethoxy)ketoester (I) with the benzylidene ketoester (II) formed the protected dihydropyridine (III). Selective deprotection of the cyanoethyl ester under basic conditions provided carboxylic acid (IV), which was further converted to amide (V). Then, acid cleavage of the tert-butyl ester gave acid (VI). Coupling with the (aminopropyl)piperidine (VII) furnished the corresponding amide (VIII). Finally, the azido group was reduced to the target amine by means of trimethyl phosphine.

参考文献No.700773
标题:
作者:Tyring, S.K.; Vander Straten, M.; Carrasco, D.
来源:Tetrahedron Lett 1998,39(30),5293-96
合成路线图解说明:

Hantzsch condensation of the (azidoethoxy)ketoester (I) with the benzylidene ketoester (II) formed the protected dihydropyridine (III). Selective deprotection of the cyanoethyl ester under basic conditions provided carboxylic acid (IV), which was further converted to amide (V). Then, acid cleavage of the tert-butyl ester gave acid (VI). Coupling with the (aminopropyl)piperidine (VII) furnished the corresponding amide (VIII). Finally, the azido group was reduced to the target amine by means of trimethyl phosphine.

Drug Information Express,Drug R&D,Chemical Database,Patent Search.
Copyright © 2006-2026 Drug Future. All rights reserved.Contact Us