【药物名称】YM-47813
化学结构式(Chemical Structure):
参考文献No.474462
标题:Novel 5-hydroxytryptamine 4 (5-HT4) receptor agonists. Synthesis and gastroprokinetic activity of 4-amino-N-[2-(1-aminocycloalkan-1-yl)ethyl]-5-chloro-2-methoxybenzamides
作者:Suzuki, T.; Imanishi, N.; Itahana, H.; Watanuki, S.; Miyata, K.; Ohta, M.; Nakahara, H.; Yamagiwa, Y.; Mase, T.
来源:Chem Pharm Bull 1998,46(7),1116
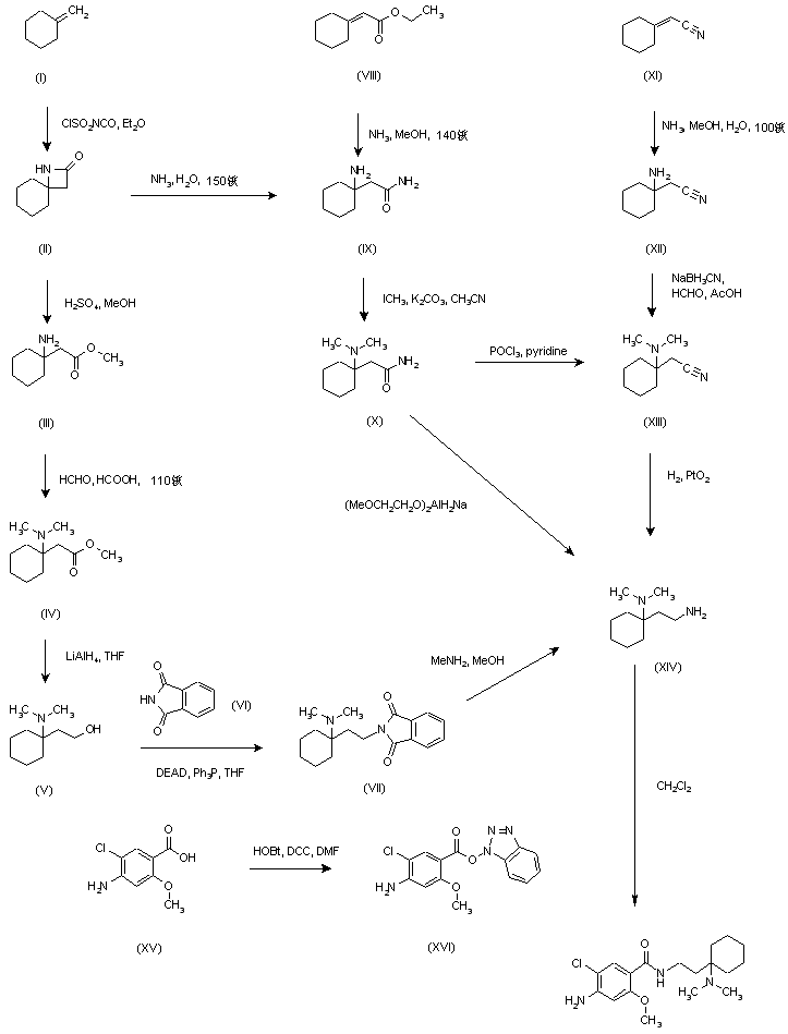
合成路线图解说明:

The intermediate amine (XIV) was prepared by several synthetic routes. Condensation of methylene cyclohexane (I) with chlorosulfonyl isocyanate produced b-lactam (II). Treatment of (II) with H2SO4 in boiling MeOH gave ester (III), and subsequent reductive alkylation with formaldehyde and formic acid afforded dimethylamino compound (IV). Ester reduction with LiAlH4 in THF provided alcohol (V), which was condensed with phthalimide (VI) under Mitsunobu conditions to yield N-alkylated phthalimide (VII). Then, phthalimide hydrolysis with methylamine in MeOH provided amine (XIV). Alternatively, cyclohexylideneacetate (VIII) was treated with methanolic NH3 at 140 C in a sealed tube to give aminoacetamide (IX). This compound could also be obtained by heating b-lactam (II) with aqueous ammonia at 150 C. Subsequent alkylation of (IX) with iodomethane provided dimethylamino compound (X), which was reduced with vitride in refluxing toluene to give (XIV). Starting from cyclohexylideneacetonitrile (XI), treatment with NH3 at 100 C in a sealed tube gave aminonitrile (XII). This nitrile could also be prepared by dehydration of amide (X) with POCl3. Reductive alkylation of the primary amine of (XII) with HCHO in the presence of NaBH3CN gave dimethylamino nitrile (XIII). Then, hydrogenation of nitrile (XIII) in the presence of PtO2 provided amine (XIV). Finally, condensation of amine (XIV) with 1-benzotriazolyl ester (XVI), obtained by treatment of benzoic acid (XV) with 1-hydroxybenzotriazole and DCC, gave the title benzamide.

Drug Information Express,Drug R&D,Chemical Database,Patent Search.
Copyright © 2006-2026 Drug Future. All rights reserved.Contact Us