【药物名称】LS-4477
化学结构式(Chemical Structure):
参考文献No.56713
标题:Novel antitumour cpds. with antimitotic activity
作者:Fex, T.; Asp, B.; Stamvik, A.; Carlsson, J.-I.; Billstr鰉, A. (Pharmacia AB)
来源:WO 9529155
合成路线图解说明:

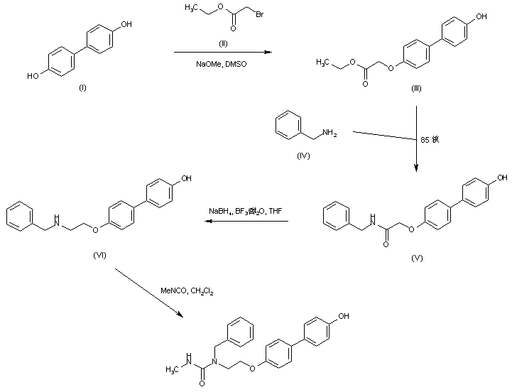
The alkylation of 4,4'-dihydroxybiphenyl (I) with ethyl bromoacetate (II) in the presence of sodium methoxide afforded the (biphenylyloxy)acetate (III). Heating of ester (III) with benzylamine (IV) at 85 C produced amide (V), which was subsequently reduced to amine (VI) by means of borane, generated in situ from NaBH4 and BF3. Finally, condensation of the secondary amine (VI) with methyl isocyanate gave rise to the title urea derivative.

合成路线图解说明:

The alkylation of 4,4'-dihydroxybiphenyl (I) with ethyl bromoacetate (II) in the presence of sodium methoxide afforded the (biphenylyloxy)acetate (III). Heating of ester (III) with m-fluorobenzylamine (IV) at 85 C produced amide (V), which was subsequently reduced to amine (VI) by means of borane, generated in situ from NaBH4 and BF3. Finally, condensation of the secondary amine (VI) with methyl isocyanate gave rise to the title urea derivative.

Drug Information Express,Drug R&D,Chemical Database,Patent Search.
Copyright © 2006-2026 Drug Future. All rights reserved.Contact Us