【药物名称】XR-9051
化学结构式(Chemical Structure):
参考文献No.30494
标题:Piperazine-2,5-dione derivs. as modulators of multidrug resistance
作者:Ashworth, P.A.; Hunjan, S.; Pretswell, I.A.; Ryder, H.; Brocchini, S.J. (Xenova Group plc)
来源:EP 0799210; GB 2311780; JP 1998511385; US 5935955; WO 9620180
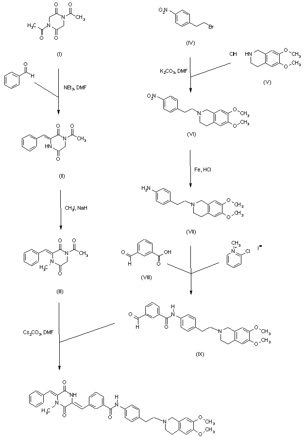
合成路线图解说明:

Condensation of 1,4-diacetyl-2,5-piperazinedione (I) with the equimolecular amount of benzaldehyde in the presence of triethylamine affords the benzylidene compound (II), which is N-methylated on treatment with iodomethane and sodium hydride to give III. Alkylation of the tetrahydroisoquinoline (V) with 4-(2-bromoethyl)nitrobenzene (IV) provides the tertiary amine (VI). The nitro group of (VI) is reduced by treatment with iron powder and concentrated HCl in refluxing MeOH to give aniline VII, which is condensed with 3-formylbenzoic acid (VIII) in the presence of 2-chloro-1-methylpyridinium iodide to afford the corresponding amide (IX). Finally, condensation between the previously obtained piperazinedione (III) and aldehyde (IX) in the presence of Cs2CO3 leads to the title compound.

Drug Information Express,Drug R&D,Chemical Database,Patent Search.
Copyright © 2006-2026 Drug Future. All rights reserved.Contact Us