【药物名称】Picoplatin, NX-473, ZD-473, ZD-0473, AMD-473, JM-473
化学结构式(Chemical Structure):
参考文献No.473361
标题:AMD473
作者:Kelland, L. R.; Barnard, C.D.J.
来源:Drugs Fut 1998,23(10),1062-1065
合成路线图解说明:

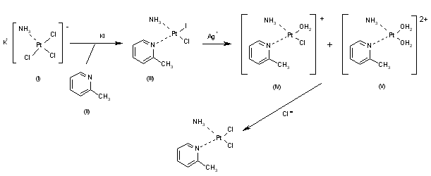
AMD473 is prepared by a modified Dhara synthesis: The procedure is similar to that described for the preparation of the platinum(II) precursor of the other mixed amine platinum drug currently in development, JM216. In the first step, potassium amminetrichloroplatinate (II) is reacted with 2-picoline in the presence of iodide at ambient temperature. The direction of substitution in platinum(II) complexes is controlled by the trans effect of the different ligands. Since in [PtCl3(NH3)] the trans effect for Cl > NH3, one of the trans pair of chloride ligands is initially substituted by iodide. Iodide has a much greater trans effect than chloride or ammine ligands and directs further substitution trans to itself. Binding of 2-picoline results in precipitation of the desired isomer [PtCl(I)(NH3)(2-picoline)]. In the second step, the iodide ligand is removed by reaction with silver ions in water at ambient temperature and treatment of the resulting aqua platinum complexes with chloride yields [PtCl2(NH3)(2-picoline)]. This occurs with retention of stereochemistry at platinum, so yielding the pure cis isomer. This complex may be recrystallized from dilute hydrochloric acid.

参考文献No.802828
标题:A rapid method for the synthesis of cis-[Pt(NH3)2Cl2]
作者:Dhara, S.C.
来源:Indian J Chem 1970,8193-4
合成路线图解说明:

AMD473 is prepared by a modified Dhara synthesis: The procedure is similar to that described for the preparation of the platinum(II) precursor of the other mixed amine platinum drug currently in development, JM216. In the first step, potassium amminetrichloroplatinate (II) is reacted with 2-picoline in the presence of iodide at ambient temperature. The direction of substitution in platinum(II) complexes is controlled by the trans effect of the different ligands. Since in [PtCl3(NH3)] the trans effect for Cl > NH3, one of the trans pair of chloride ligands is initially substituted by iodide. Iodide has a much greater trans effect than chloride or ammine ligands and directs further substitution trans to itself. Binding of 2-picoline results in precipitation of the desired isomer [PtCl(I)(NH3)(2-picoline)]. In the second step, the iodide ligand is removed by reaction with silver ions in water at ambient temperature and treatment of the resulting aqua platinum complexes with chloride yields [PtCl2(NH3)(2-picoline)]. This occurs with retention of stereochemistry at platinum, so yielding the pure cis isomer. This complex may be recrystallized from dilute hydrochloric acid.

参考文献No.802829
标题:III. Carboxylation of kinetically inert platinum(IV) hydroxy complexes. An entr閑 into orally active platinum(IV) antitumor agents
作者:Wyer, S.B.; Vollano, J.F.; Higgins, J.D.; Bossard, G.E.; Giandomenico, C.M.; Murrer, B.A.; Abrams, M.J.; Rheinheimer, M.I.
来源:Inorg Chem 1995,341015-21
合成路线图解说明:

AMD473 is prepared by a modified Dhara synthesis: The procedure is similar to that described for the preparation of the platinum(II) precursor of the other mixed amine platinum drug currently in development, JM216. In the first step, potassium amminetrichloroplatinate (II) is reacted with 2-picoline in the presence of iodide at ambient temperature. The direction of substitution in platinum(II) complexes is controlled by the trans effect of the different ligands. Since in [PtCl3(NH3)] the trans effect for Cl > NH3, one of the trans pair of chloride ligands is initially substituted by iodide. Iodide has a much greater trans effect than chloride or ammine ligands and directs further substitution trans to itself. Binding of 2-picoline results in precipitation of the desired isomer [PtCl(I)(NH3)(2-picoline)]. In the second step, the iodide ligand is removed by reaction with silver ions in water at ambient temperature and treatment of the resulting aqua platinum complexes with chloride yields [PtCl2(NH3)(2-picoline)]. This occurs with retention of stereochemistry at platinum, so yielding the pure cis isomer. This complex may be recrystallized from dilute hydrochloric acid.

Drug Information Express,Drug R&D,Chemical Database,Patent Search.
Copyright © 2006-2026 Drug Future. All rights reserved.Contact Us