【药物名称】Tacapenem pivoxil, CS-834
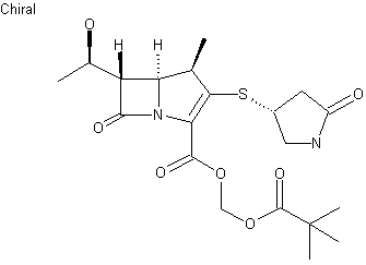
化学结构式(Chemical Structure):
参考文献No.11307
标题:2-(Heterocyclylthio)carbapenem derivs. their preparation and their use as antibiotics
作者:Kawamoto, I.; Tanaka, T.; Endo, R.; Miyauchi, M.; Iwata, M. (Sankyo Co., Ltd.)
来源:AU 8932386; EP 0337637; EP 0597821; JP 1990028180; JP 1990049783; US 5104867; US 5242914
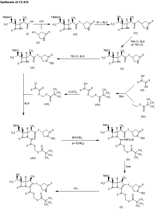
合成路线图解说明:

1) The mesylation of 4(S)-hydroxypyrrolidin-2-one (I) with mesyl chloride and triethylamine in pyridine gives the corresponding ester (II), which is treated with potassium thioacetate (III) in refluxing acetonitrile yielding 4(R)-(acetylsulfanyl)pyrrolidin-2-one (IV). The hydrolysis of (IV) with sodium methoxide in methanol followed by acidification with aqueous HCl affords 4(R)-sulfanylpyrrolidin-2-one (V), which is condensed with (1R,5S,6S)-2-(diphenoxyphosphoryloxy)-6-[1(R)-hydroxyethyl]-1-methyl-1-carba-2-penem-3-carboxylic acid p-nitrobenzyl ester (VI) by means of ethyldiisopropylamine in acetonitrile to give (1R,5S,6S)-6-[1(R)-hydroxyethyl]-1-methyl-2-[5-oxopyrrolidin-3(R)-ylsulfanyl]-1-carba-2-penem-3-carboxylic acid p-nitrobenzyl ester (VII). The hydrogenolysis of (VII) with H2 over Pd/C in THF/aqueous phosphate buffer yields the sodium salt (VIII), which is finally esterified with pivaloyloxymethyl iodide (IX) in dimethylacetamide.

合成路线图解说明:

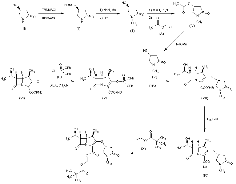
Protection of alcohol (I) with TBDMSCl and imidazole gives silyl compound (II) which is N-methylated by means of NaH and MeI and then deprotected with HCl to yield derivative (III). Mesylation of (III) with MsCl in presence of Et3N followed by thioacetylation with AcSK (A) affords thioacetate (IV) which is then hydrolyzed with NaOMe to yield (V). Treatment of (VI) with diphenylphosphoryl chloride (B) and DIEA in acetonitrile yields (VII), which is then condensed with mercaptan (V) by means of DIEA in the same solvent to provide carbapenem (VIII). Deprotection of the carboxyl moiety of (VIII) by hydrogenation with H2 over Pd/C affords carboxylate (IX), which is finally esterified with pivaloyloxymethyl iodide (X) in N,N-dimethylacetamide or DMF.

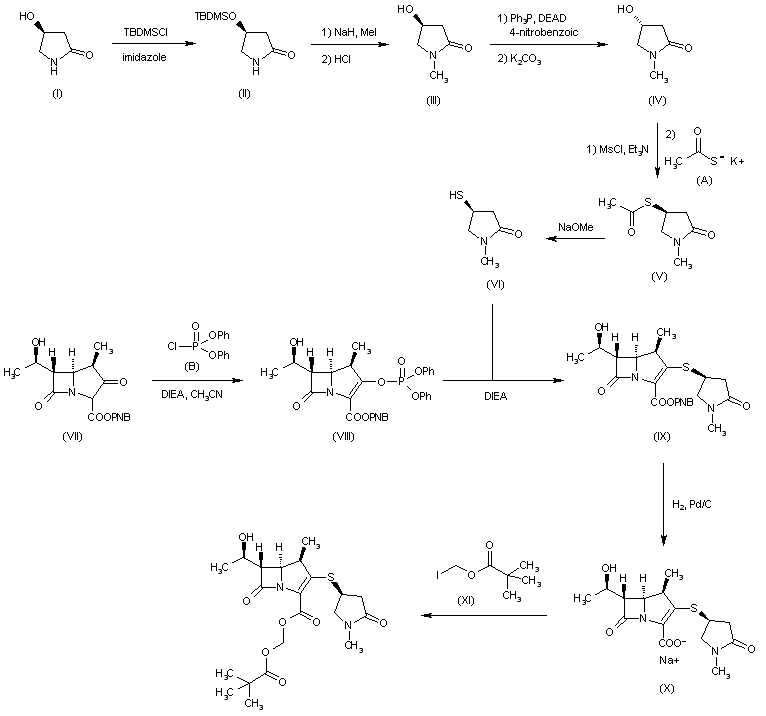
合成路线图解说明:

Alcohol (I) is protected with TBDMSCl and imidazole to give silyl compound (II), which is N-methylated by means of NaH and MeI and then deprotected with HCl to yield derivative (III). Mitsunobu reaction of (III) with 4-nitrobenzoic acid in presence of PPh3 and DEAD, followed by ester hydrolysis with K2CO3, provides alcohol (IV). Mesylation of (IV) with MsCl in presence of Et3N, followed by thioacetylation with AcSK (A), affords thioacetate (V), which is then hydrolyzed with NaOMe to yield (VI). Treatment of (VII) with diphenylphosphoryl chloride (B) in CH3CN and DIEA in CH3CN yields (VIII), which is then condensed with mercaptan (VI) by means of DIEA in the same solvent to provide carbapenem (IX). Deprotection of the carboxyl moiety of (IX) by hydrogenation with H2 over Pd/C affords carboxylate (X), which is finally esterified with pivaloyloxymethyl iodide (XI) in N,N-dimethylacetamide or DMF.

参考文献No.23735
标题:Crystalline carbapenem deriv
作者:Kawamoto, I.; Miyauchi, M.; Endo, R. (Sankyo Co., Ltd.)
来源:EP 0599512; JP 1995165759
合成路线图解说明:

1) The mesylation of 4(S)-hydroxypyrrolidin-2-one (I) with mesyl chloride and triethylamine in pyridine gives the corresponding ester (II), which is treated with potassium thioacetate (III) in refluxing acetonitrile yielding 4(R)-(acetylsulfanyl)pyrrolidin-2-one (IV). The hydrolysis of (IV) with sodium methoxide in methanol followed by acidification with aqueous HCl affords 4(R)-sulfanylpyrrolidin-2-one (V), which is condensed with (1R,5S,6S)-2-(diphenoxyphosphoryloxy)-6-[1(R)-hydroxyethyl]-1-methyl-1-carba-2-penem-3-carboxylic acid p-nitrobenzyl ester (VI) by means of ethyldiisopropylamine in acetonitrile to give (1R,5S,6S)-6-[1(R)-hydroxyethyl]-1-methyl-2-[5-oxopyrrolidin-3(R)-ylsulfanyl]-1-carba-2-penem-3-carboxylic acid p-nitrobenzyl ester (VII). The hydrogenolysis of (VII) with H2 over Pd/C in THF/aqueous phosphate buffer yields the sodium salt (VIII), which is finally esterified with pivaloyloxymethyl iodide (IX) in dimethylacetamide.

参考文献No.31556
标题:Carbapenem ester preparation
作者:Oita, S.; Mori, M. (Sankyo Co., Ltd.)
来源:JP 1996059663
合成路线图解说明:

2) The esterification of 2(R)-[4-oxo-3(S)-[1(R)-(trimethylsilyloxy)ethyl]azetidin-2(S)-yl]propionic acid (X) with the previously obtained pyrrolidinone (V) gives the expected thiopropionic ester (XI), which is acylated with oxalic acid monochloride monopivaloyloxymethyl ester (XII) by means of trimethylsilylchloride and triethylamine yielding the condensation product (XIII). The cyclization of (XIII) by means of methylphosphonic acid diethyl ester affords silylated CS-834 (XIV), which is finally deprotected with 1N HCl.

参考文献No.381136
标题:CS-834, a new oral carbapenem: I. Structure-activity relationships of 2-substituted 1beta-methylcarbapenems
作者:Yasuda, H.; Kuwahara, S.; Kawamoto, I.; Miyauchi, M.; Endo, R.; Hisaoka, M.
来源:36th Intersci Conf Antimicrob Agents Chemother (Sept 15-18, New Orleans) 1996,Abst F105
合成路线图解说明:

1) The mesylation of 4(S)-hydroxypyrrolidin-2-one (I) with mesyl chloride and triethylamine in pyridine gives the corresponding ester (II), which is treated with potassium thioacetate (III) in refluxing acetonitrile yielding 4(R)-(acetylsulfanyl)pyrrolidin-2-one (IV). The hydrolysis of (IV) with sodium methoxide in methanol followed by acidification with aqueous HCl affords 4(R)-sulfanylpyrrolidin-2-one (V), which is condensed with (1R,5S,6S)-2-(diphenoxyphosphoryloxy)-6-[1(R)-hydroxyethyl]-1-methyl-1-carba-2-penem-3-carboxylic acid p-nitrobenzyl ester (VI) by means of ethyldiisopropylamine in acetonitrile to give (1R,5S,6S)-6-[1(R)-hydroxyethyl]-1-methyl-2-[5-oxopyrrolidin-3(R)-ylsulfanyl]-1-carba-2-penem-3-carboxylic acid p-nitrobenzyl ester (VII). The hydrogenolysis of (VII) with H2 over Pd/C in THF/aqueous phosphate buffer yields the sodium salt (VIII), which is finally esterified with pivaloyloxymethyl iodide (IX) in dimethylacetamide.

合成路线图解说明:

2) The esterification of 2(R)-[4-oxo-3(S)-[1(R)-(trimethylsilyloxy)ethyl]azetidin-2(S)-yl]propionic acid (X) with the previously obtained pyrrolidinone (V) gives the expected thiopropionic ester (XI), which is acylated with oxalic acid monochloride monopivaloyloxymethyl ester (XII) by means of trimethylsilylchloride and triethylamine yielding the condensation product (XIII). The cyclization of (XIII) by means of methylphosphonic acid diethyl ester affords silylated CS-834 (XIV), which is finally deprotected with 1N HCl.

参考文献No.420076
标题:Synthesis and structure-activity relationships of a novel oral carbapenem, CS-834
作者:Miyauchi, M.; Endo, R.; Hisaoka, M.; Yasuda, H.; Kawamoto, I.
来源:J Antibiot 1997,50(5),429-39
合成路线图解说明:

1) The mesylation of 4(S)-hydroxypyrrolidin-2-one (I) with mesyl chloride and triethylamine in pyridine gives the corresponding ester (II), which is treated with potassium thioacetate (III) in refluxing acetonitrile yielding 4(R)-(acetylsulfanyl)pyrrolidin-2-one (IV). The hydrolysis of (IV) with sodium methoxide in methanol followed by acidification with aqueous HCl affords 4(R)-sulfanylpyrrolidin-2-one (V), which is condensed with (1R,5S,6S)-2-(diphenoxyphosphoryloxy)-6-[1(R)-hydroxyethyl]-1-methyl-1-carba-2-penem-3-carboxylic acid p-nitrobenzyl ester (VI) by means of ethyldiisopropylamine in acetonitrile to give (1R,5S,6S)-6-[1(R)-hydroxyethyl]-1-methyl-2-[5-oxopyrrolidin-3(R)-ylsulfanyl]-1-carba-2-penem-3-carboxylic acid p-nitrobenzyl ester (VII). The hydrogenolysis of (VII) with H2 over Pd/C in THF/aqueous phosphate buffer yields the sodium salt (VIII), which is finally esterified with pivaloyloxymethyl iodide (IX) in dimethylacetamide.

参考文献No.448878
标题:CS-834
作者:Graul, A.; Casta馿r, R.M.; Casta馿r, J.; Leeson, P.
来源:Drugs Fut 1998,23(3),261
合成路线图解说明:

1) The mesylation of 4(S)-hydroxypyrrolidin-2-one (I) with mesyl chloride and triethylamine in pyridine gives the corresponding ester (II), which is treated with potassium thioacetate (III) in refluxing acetonitrile yielding 4(R)-(acetylsulfanyl)pyrrolidin-2-one (IV). The hydrolysis of (IV) with sodium methoxide in methanol followed by acidification with aqueous HCl affords 4(R)-sulfanylpyrrolidin-2-one (V), which is condensed with (1R,5S,6S)-2-(diphenoxyphosphoryloxy)-6-[1(R)-hydroxyethyl]-1-methyl-1-carba-2-penem-3-carboxylic acid p-nitrobenzyl ester (VI) by means of ethyldiisopropylamine in acetonitrile to give (1R,5S,6S)-6-[1(R)-hydroxyethyl]-1-methyl-2-[5-oxopyrrolidin-3(R)-ylsulfanyl]-1-carba-2-penem-3-carboxylic acid p-nitrobenzyl ester (VII). The hydrogenolysis of (VII) with H2 over Pd/C in THF/aqueous phosphate buffer yields the sodium salt (VIII), which is finally esterified with pivaloyloxymethyl iodide (IX) in dimethylacetamide.

合成路线图解说明:

2) The esterification of 2(R)-[4-oxo-3(S)-[1(R)-(trimethylsilyloxy)ethyl]azetidin-2(S)-yl]propionic acid (X) with the previously obtained pyrrolidinone (V) gives the expected thiopropionic ester (XI), which is acylated with oxalic acid monochloride monopivaloyloxymethyl ester (XII) by means of trimethylsilylchloride and triethylamine yielding the condensation product (XIII). The cyclization of (XIII) by means of methylphosphonic acid diethyl ester affords silylated CS-834 (XIV), which is finally deprotected with 1N HCl.

参考文献No.563959
标题:A short-step synthesis of orally active carbapenem antibiotic CS-834
作者:Mori, M.; Oida, S.
来源:Chem Pharm Bull 2000,48(1),126
合成路线图解说明:

A short-step synthesis of CS-834 has been described: The condensation of azetidinone (I) with pyrrolidinone (II) by means of CDI gives the thioester (III), which is desilylated with BF3/Et2O to the alcohol (IV). In order to have a more labile protecting group, alcohol (IV) is resilylated with TMS-Cl (or TES-Cl) and triethylamine affording the silyl ether (V), which is protected again at the pyrrolidine nitrogen with TES-Cl, affording the disilylated azetidinone (VI). The condensation of (VI) with the oxalyl chloride (VII) by means of triethylamine in dichloromethane gives the expected oxalylazetidinone (VIII), which is treated with diethyl ethylphosphonite in toluene yielding the ylide (IX). This compound, without isolation, is cyclized in refluxing mesitylene to afford the protected carbapenem intermediate (X), which is finally desilylated with HCl in acetonitrile. The cyclization of azetidinone (VIII) to carbapenem (X) can also be performed with triethyl phosphite instead of diethyl ethylphosphonite. The oxalyl chloride (VII) is obtained by monoesterification of oxalic acid (XI) with pivaloyloxymethyl iodide (XII) by means of triethylamine yielding monoester (XIII), which is finally converted to intermediate (VII) by treatment with oxalyl chloride in dichloromethane.

参考文献No.616131
标题:Process development on (3S,4S)-[(R)-1'((tert-butyldimethylsilyl)oxy)ethyl]-4-[(R)-1-carboxyethyl]-2-azetidinone: 1-beta-methylcarbapanem key intermediate
作者:Lu, X.; et al.
来源:Org Process Res Dev 2001,5(2),186
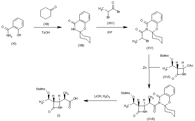
合成路线图解说明:

The reaction of 2-hydroxybenzamide (XI) with cyclohexanone (XII) by means of Ts-OH in toluene gives the spiranic benzoxazine (XIII), which is condensed with 2-bromopropionyl bromide (XIV) by means of pyridine in toluene, yielding the corresponding acylated benzoxazine (XV). The condensation of (XV) with chiral azetidinone (XVI) by means of Zn in refluxing THF affords the adduct (XVII), which is finally hydrolyzed with LiOH and H2O2 to furnish the target azetidinonepropionic acid (I).

Drug Information Express,Drug R&D,Chemical Database,Patent Search.
Copyright © 2006-2026 Drug Future. All rights reserved.Contact Us