【药物名称】Altropane, IACFT, Altropane
化学结构式(Chemical Structure):
参考文献No.27080
标题:Substd. 2-carboxyalkyl-3-(fluorophenyl)-8-(3-haloprofen-2-yl) nortropanes and their use as imaging agents for neurodegenerative disorders
作者:Elmaleh, D.R.; Madras, B.K.; Meltzer, P.; Hanson, R.N. (General Hospital Corporation; Harvard College; Northeastern University)
来源:EP 0734385; EP 1081147; WO 9511901
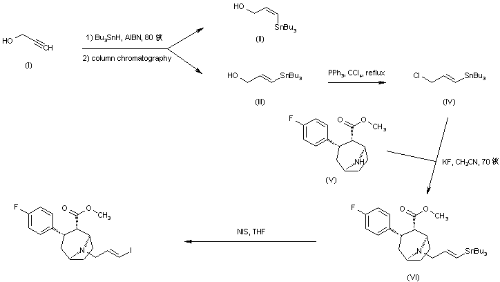
合成路线图解说明:

Addition of tributyltin hydride to the triple bond of propargyl alcohol (I) in the presence of AIBN provided a mixture of (Z)-(II) and (E)-3-(tributylstannyl)-2-propen-1-ol (III), which were separated by column chromatography. The desired (E)-allyl alcohol (III) was further converted to the corresponding chloride (IV) by treatment with PPh3 in refluxing CCl4. Alkylation of the nortropane derivative (V) with chloride (IV) in the presence of celite-supported KF furnished the N-(tributylstannyl)propenyl nortropane (VI). The target iodinated compound was then prepared by treatment of (VI) with N-iodosuccinimide.

参考文献No.675359
标题:Preparation and biological evaluation of iodine-125-IACFT: A selective SPECT agent for imaging dopamine transporter sites
作者:Elmaleh, D.R.; Fischman, A.J.; Shoup, T.M.; Byon, C.; Hanson, R.N.; Liang, A.Y.; Meltzer, P.C.; Madras, B.K.
来源:J Nucl Med 1996,37(7),1197
合成路线图解说明:

Addition of tributyltin hydride to the triple bond of propargyl alcohol (I) in the presence of AIBN provided a mixture of (Z)-(II) and (E)-3-(tributylstannyl)-2-propen-1-ol (III), which were separated by column chromatography. The desired (E)-allyl alcohol (III) was further converted to the corresponding chloride (IV) by treatment with PPh3 in refluxing CCl4. Alkylation of the nortropane derivative (V) with chloride (IV) in the presence of celite-supported KF furnished the N-(tributylstannyl)propenyl nortropane (VI). The target iodinated compound was then prepared by treatment of (VI) with N-iodosuccinimide.

Drug Information Express,Drug R&D,Chemical Database,Patent Search.
Copyright © 2006-2026 Drug Future. All rights reserved.Contact Us